Poslední aktualizace :
25/03/2026
Antikoaguliantas   Bivalirudin  
Įpurškimas
Tirpalų stabilumas Mišinių stabilumas Stabilumą lemiantys veiksniai Suderinamumas Leidimo būdai Bibliografija pdf
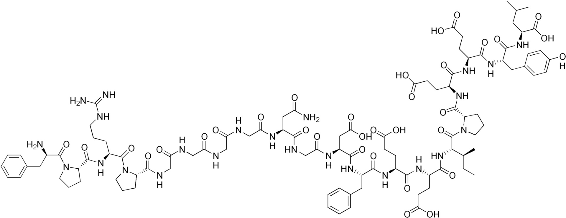
   Cheminė sandara  

Prekinis pavadinimas   Prekinis pavadinimas     

Trade names are indicative and excipients composition can be different depending on the country and manufacturers

Amuprux Argentina
Angiomax Australija, Čilė, Jungtinės Amerikos Valstijos, Kanada, Naujojoje Zelandijoje, Peru, Venesuela
Angiox Austrija, Danija, Didžioji Britanija, Graikija, Islandija, Ispanija, Italija, Jungtinės Amerikos Valstijos, Lenkija, Norvegija, Olandija, Rumunija, Slovėnija, Suomija, Vengrija
Bivalirudin Belgija, Danija, Didžioji Britanija, Slovėnija, Suomija, Švedija, Vokietija
Bivalirudina Ispanija, Italija

Stabilumą lemiantys veiksniai   Įpurškimas   Stabilumą lemiantys veiksniai : Bivalirudin        
Nėra duomenų

  Mentions Légales