Letztes “update” :
25/03/2026
Antikoagulans   Bivalirudin  
Injektion
Stabilität der Lösung Gemengestabilität Stabilitätbeeinflussende Faktoren Kompatibilitäten Applikationsart Literaturverzeichnis pdf
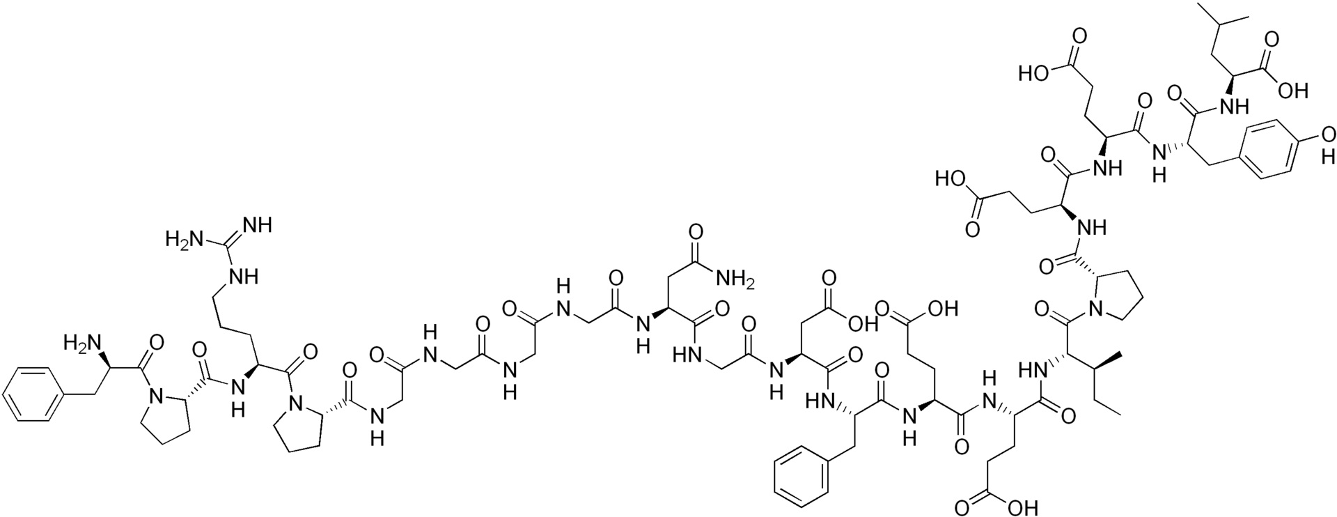
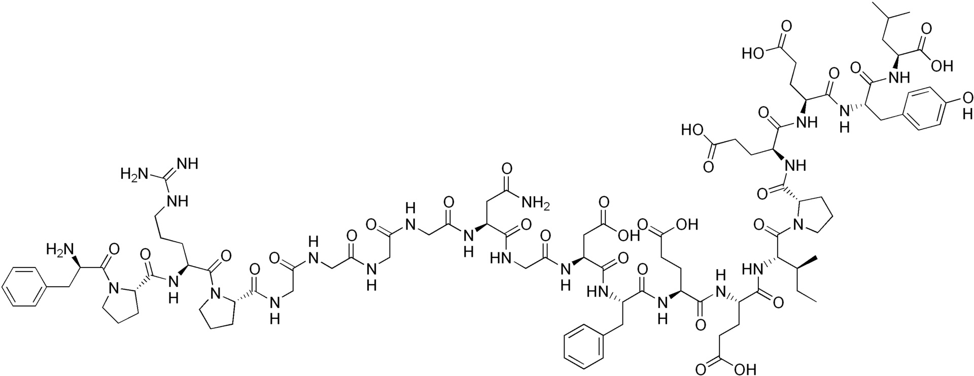
   Chemische Struktur  

Handelsmarke   Handelsmarke     

Handelsnamen sind als beispielhaft anzusehen. Sonstige Bestandteile können je nach Hersteller oder Land verschieden sein

Amuprux Argentinien
Angiomax Australien, Chile, Kanada, Neuseeland, Peru, Venezuela, Vereinigte Staaten von Amerika
Angiox Dänemark, Finnland, Griechenland, Großbritannien, Island, Italien, Niederlande, Norwegen, Österreich, Polen, Rumänien, Slowenien, Spanien, Ungarn, Vereinigte Staaten von Amerika
Bivalirudin Belgien, Dänemark, Deutschland, Finnland, Großbritannien, Schweden, Slowenien
Bivalirudina Italien, Spanien

Stabilitätbeeinflussende Faktoren   Injektion   Stabilitätbeeinflussende Faktoren : Bivalirudin        
Keine Daten

  Mentions Légales