zadnja posodobitev :
25/03/2026
Antikoagulant   Bivalirudin  
Brizgalka
Stabilnost raztopine Stabilnost mešanice Faktorji, ki vplivajo na stabilnost Kompatibilnost način aplikacije Viri pdf
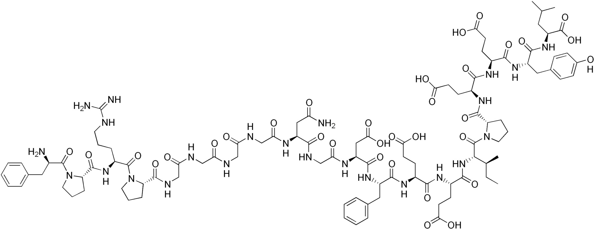
   Kemična formula  

Lastniško ime   Lastniško ime     

Sestava pomožnih snovi je med paralelami lahko različna

Amuprux Argentina
Angiomax Avstralija, Čile, Kanada, nova Zelandija, Peru, Venezuela, Združene države Amerike
Angiox Avstrija, Danska, Finska, Grčija, Islandija, Italija, Madžarska, Nizozemska, Norveška, Poljska, Romunija, Slovenija, Španija, Velika Britanija, Združene države Amerike
Bivalirudin Belgija, Danska, Finska, Nemčija, Slovenija, Švedska, Velika Britanija
Bivalirudina Italija, Španija

Faktorji, ki vplivajo na stabilnost   Brizgalka   Faktorji, ki vplivajo na stabilnost : Bivalirudin        
ni podatka

  Mentions Légales