Laatste update :
25/03/2026
Anticoagulans   Bivalirudin  
injecteerbaar geneesmiddel
Stabiliteit in oplossing Stabiliteit in mengsels Factoren die de stabiliteit beïnvloeden Verenigbaarheden Toedieningswijze Literatuur pdf
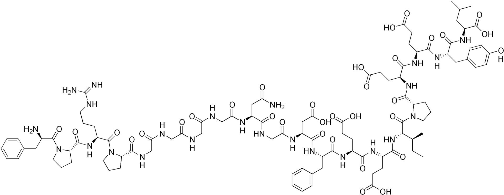
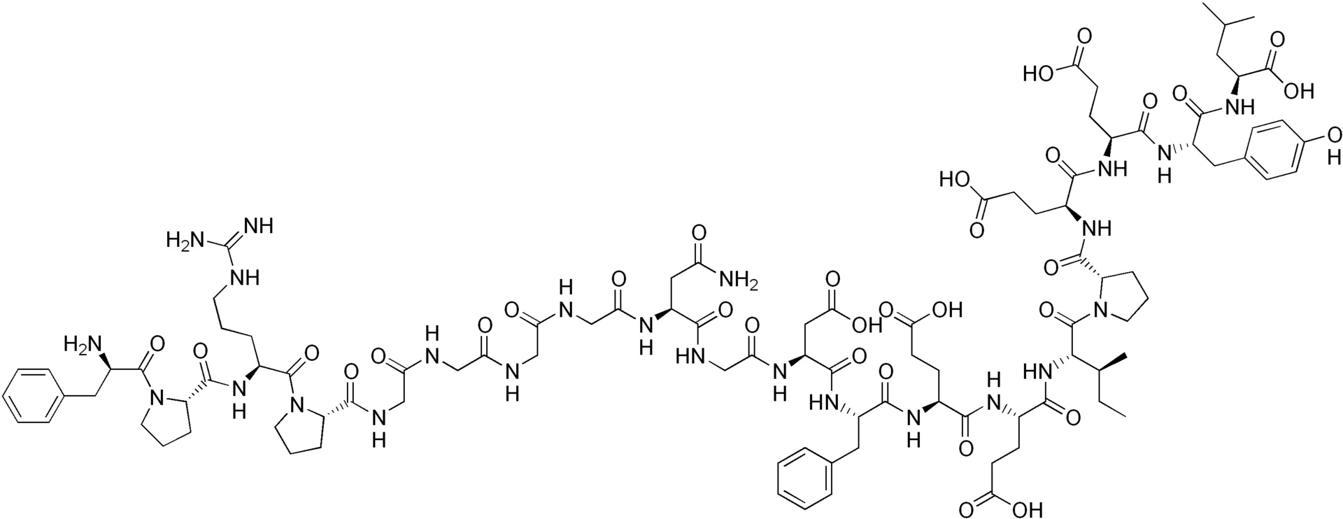
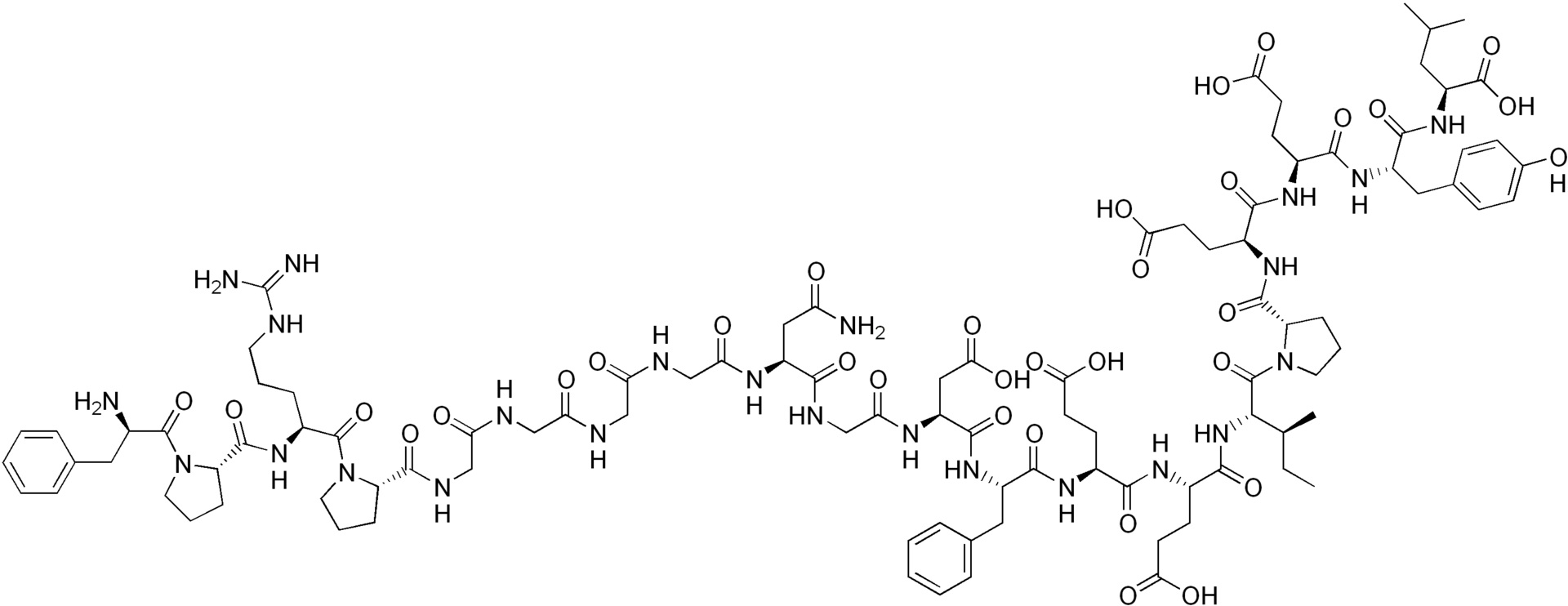
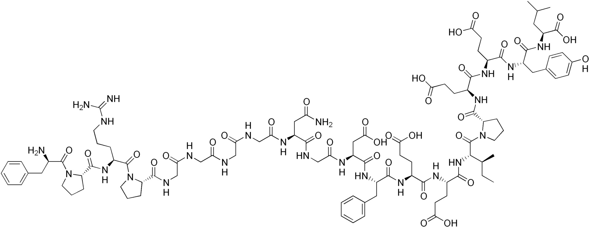
   Molecuulstructuur  

Merknamen in verschillende landen   Merknamen in verschillende landen     

Handelsnamen zijn slechts een indicatie; de samenstelling van hulpstoffen kan per land variëren afhankelijk van de fabrikant

Amuprux Argentinië
Angiomax Australië, Canada, Chili, nieuw Zeeland, Peru, USA, Venezuela
Angiox Denemarken, Finland, Griekenland, Groot Britannië, Hongarije, IJsland, Italië, Nederland, Noorwegen, Oostenrijk, Polen, Roemenië, Slovenië, Spanje, USA
Bivalirudin België, Denemarken, Duitsland, Finland, Groot Britannië, Slovenië, Zweden
Bivalirudina Italië, Spanje

Factoren die de stabiliteit beïnvloeden   injecteerbaar geneesmiddel   Factoren die de stabiliteit beïnvloeden : Bivalirudin        
geen gegevens

  Mentions Légales