Dernière mise à jour :
25/03/2026
Anticoagulant   Bivalirudin  
injectable
Stabilité des solutions Stabilité en mélange Facteur influençant la stabilité Compatibilités Voie d’administration Bibliographie pdf
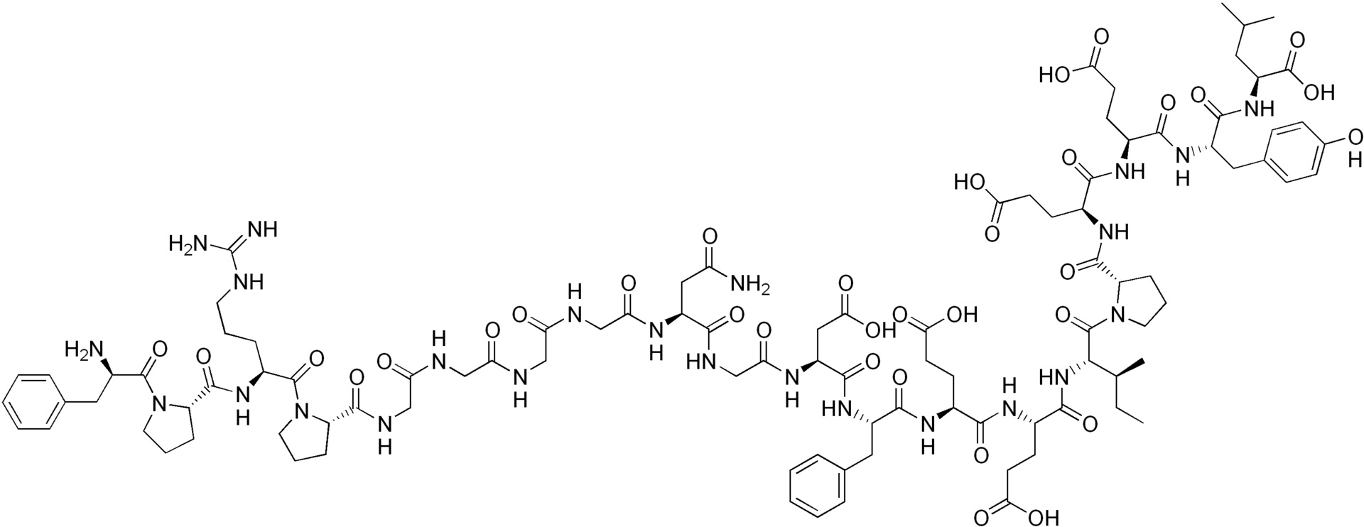
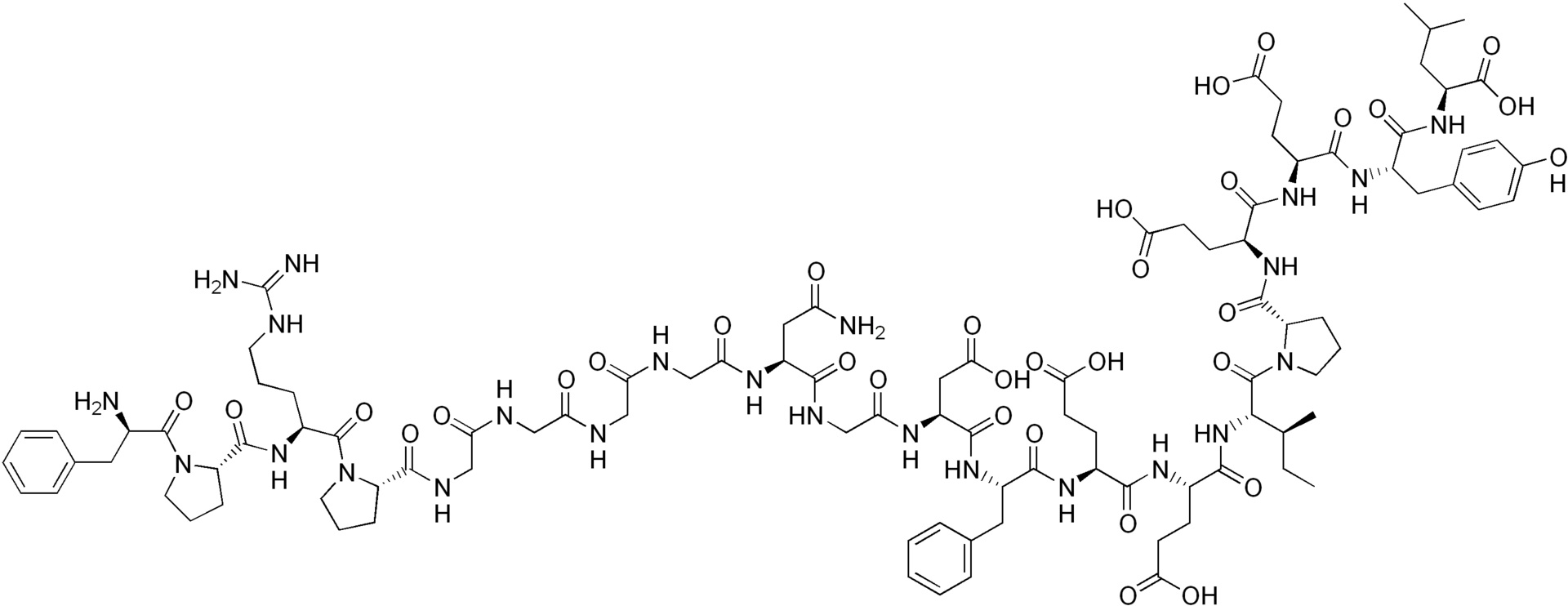
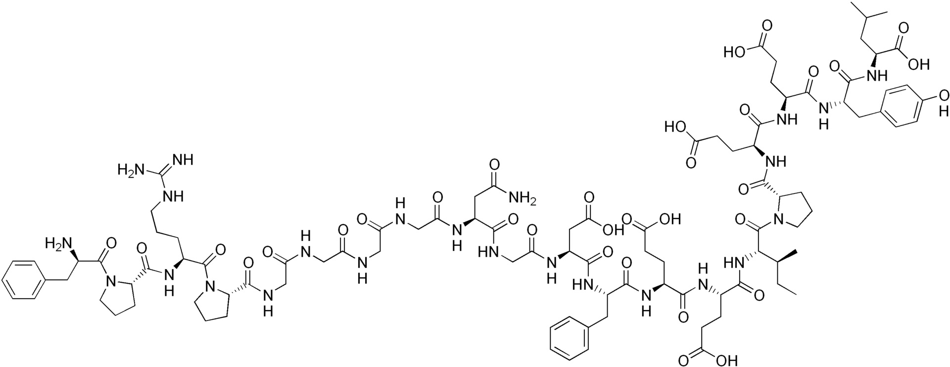
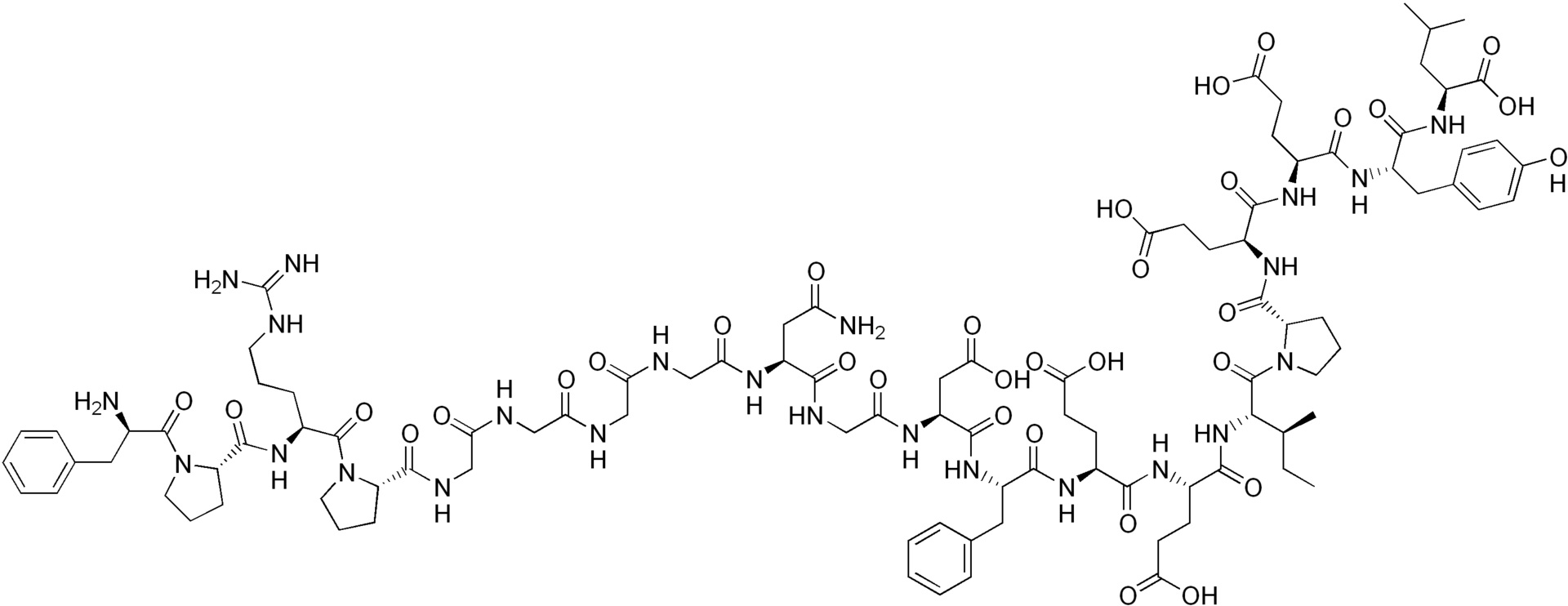
   Structure chimique  

Noms commerciaux   Noms commerciaux     

Les noms commerciaux sont donnés à titre indicatif et la composition en excipients peut être différente selon les pays et selon les laboratoires

Amuprux Argentine
Angiomax Australie, Canada, Chili, Etats Unis d’Amérique, Nouvelle Zélande, Pérou, Vénézuela
Angiox Autriche, Danemark, Espagne, Etats Unis d’Amérique, Finlande, Grande Bretagne, Grèce, Hongrie, Islande, Italie, Norvège, Pays bas, Pologne, Roumanie, Slovénie
Bivalirudin Allemagne, Belgique, Danemark, Finlande, Grande Bretagne, Slovénie, Suède
Bivalirudina Espagne, Italie

Facteur influençant la stabilité   injectable   Facteur influençant la stabilité : Bivalirudin        
Aucune donnée

  Mentions Légales