Última actualização :
25/03/2026
Anticoagulante   Bivalirudin  
injetável
Estabilidade em soluções simples Estabilidade em misturas Factores que afectam a sua estabilidade Compatibilidade Método de administração Bibliografía pdf
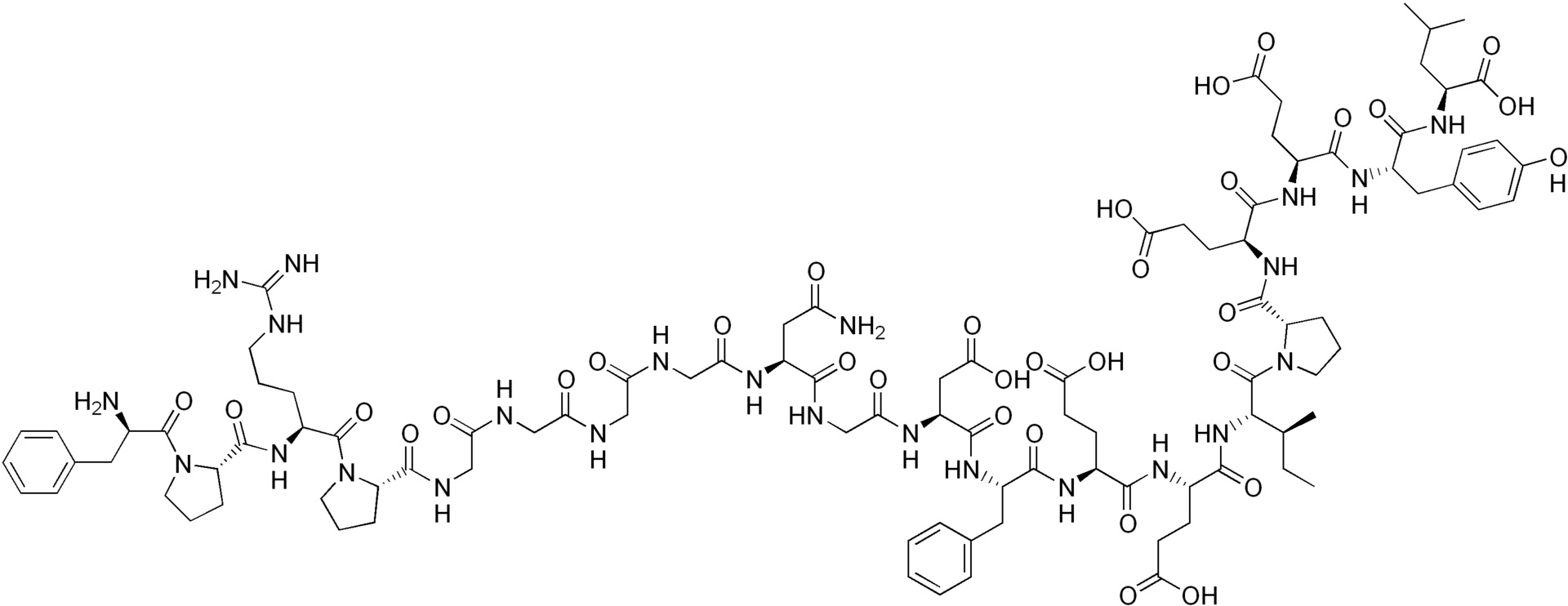
   estrutura química  

Nomes comerciais nos diversos países   Nomes comerciais nos diversos países     

OS NOMES COMERCIAIS SÃO INDICATIVOS E OS EXCIPIENTES DA FORMULAÇÃO PODEM SER DIFERENTES CONFORME O PAÍS E FABRICANTE.

Amuprux Argentina
Angiomax Australia, Canadá, Chilli, Estados Unidos de América, nova Zelândia, Peru, Venezuela
Angiox Austria, Dinamarca, Eslovenia, Espanha, Estados Unidos de América, Finlandia, Gran-bretanha, Grècia, Hungria, Islandia, Itália, Noruega, Países Baixos, Polonia, Romènia
Bivalirudin Alemanha, Bélgica, Dinamarca, Eslovenia, Finlandia, Gran-bretanha, Suècia
Bivalirudina Espanha, Itália

Factores que afectam a sua estabilidade   injetável   Factores que afectam a sua estabilidade : Bivalirudin        
Ausência de dados

  Mentions Légales