Senaste uppdateringen :
27/04/2026
Antibiotikum   Amoxicillin sodium / clavulanic acid  
injektion
Oral lösning
Lösningars stabilitet Stabilitet i blandningar Faktorer som påverkar stabiliteten Kompatibilitet Administreringssätt Hänvisningar pdf
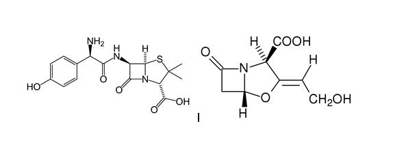
   Molekylstruktur  

Varunamn   Varunamn     

Angivna handelsnamn på läkemedel är enbart vägledande då formulering inklusive hjälpämnen kan variera mellan länder och tillverkare

Aktil Ungern
Amoclan Saudi-Arabien
Amoklavin Turkiet
Amoksiklav Polen
Amoxclav Saudi-Arabien
Amplamox Brasilien
Augmentin Belgien, Chile, Ecuador, Förenade Arabemiraten, Frankrike, Grekland, Italien, Nederländerna, Österrike, Polen, Saudi-Arabien, Schweiz, Spanien, Storbritannien, Turkiet
Betamox Portugal
Clavamox Österrike
Clavicin Malaysia, Venezuela
Clavulin Brasilien
Co-amoxi Schweiz
Co-Amoxicillin Schweiz
Curam nya Zeeland, Saudi-Arabien
Darzitil Argentina
Dibional Argentina
Julmentin Förenade Arabemiraten
Novamox Brasilien
Sulbamox Chile
Tarometin Polen
Trifamox Argentina, Colombia, Ecuador, Mexiko
Lösningars stabilitet   injektion   Lösningars stabilitet : Amoxicillin sodium / clavulanic acid     
Behållare Lösningsmedel Koncentration Temperatur Förvaring Stabilitets varaktighet Hänvisningar
Polyolefin Natriumklorid 0,9 % 20 / 2 mg/ml 20-25°C Ljus
4 Timma
1746
Evidensnivå B

Polyolefin Natriumklorid 0,9 % 20 / 2 mg/ml 4°C Skyddas från ljus
8 Timma
1746
Evidensnivå B

Polyolefin Natriumklorid 0,9 % 20 / 4 mg/ml 20-25°C Ljus
4 Timma
1746
Evidensnivå B

Polyolefin Natriumklorid 0,9 % 20 / 4 mg/ml 4°C Skyddas från ljus
8 Timma
1746
Evidensnivå B

Spruta polypropen Vatten för injektion 25/5 mg/ml 2-8°C Skyddas från ljus
4 Timma
4922
Evidensnivå D

Polyisopren elastomer Natriumklorid 0,9 % 10 / 1 mg/ml 23-27°C Ej angiven
12 Timma
5175
Tillverkarens stabilitetsuppgifter

Polyisopren elastomer Natriumklorid 0,9 % 10 / 1 mg/ml 3,5-4,5°C Ej angiven
24 Timma
5175
Tillverkarens stabilitetsuppgifter

Polyisopren elastomer Natriumklorid 0,9 % 12,5 / 1,25 mg/ml 23-27°C Ej angiven
12 Timma
5175
Tillverkarens stabilitetsuppgifter

Polyisopren elastomer Natriumklorid 0,9 % 12,5 / 1,25 mg/ml 3,5-4,5°C Ej angiven
24 Timma
5175
Tillverkarens stabilitetsuppgifter


  Mentions Légales