Last update :
27/04/2026
Antibiotic   Amoxicillin sodium / clavulanic acid  
injection
Oral solution
Stability in solutions Stability of mixtures Factors which affect stability Compatibility Route of administration References pdf
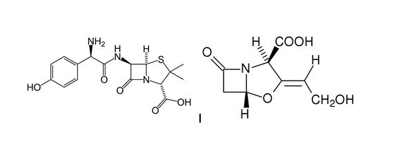
   Chemical structure  

Tradename   Tradename     

Trade names are indicative and excipients composition can be different depending on the country and manufacturers

Aktil Hungary
Amoclan Saudi Arabia
Amoklavin Turkey
Amoksiklav Poland
Amoxclav Saudi Arabia
Amplamox Brazil
Augmentin Austria, Belgium, Chile, Ecuador, France, Great Britain, Greece, Italy, Netherlands, Poland, Saudi Arabia, Spain, Switzerland, Turkey, United Arab Emirates
Betamox Portugal
Clavamox Austria
Clavicin Malaysia, Venezuela
Clavulin Brazil
Co-amoxi Switzerland
Co-Amoxicillin Switzerland
Curam New Zealand, Saudi Arabia
Darzitil Argentina
Dibional Argentina
Julmentin United Arab Emirates
Novamox Brazil
Sulbamox Chile
Tarometin Poland
Trifamox Argentina, Colombia, Ecuador, Mexico
Stability in solutions   injection   Stability in solutions : Amoxicillin sodium / clavulanic acid     
Container Solvent Concentration Temperature Storage Duration of stability References
Polyolefine Sodium chloride 0,9% 20 / 2 mg/ml 20-25°C Light
4 Hour
1746
Level of evidence B

Polyolefine Sodium chloride 0,9% 20 / 2 mg/ml 4°C Protect from light
8 Hour
1746
Level of evidence B

Polyolefine Sodium chloride 0,9% 20 / 4 mg/ml 20-25°C Light
4 Hour
1746
Level of evidence B

Polyolefine Sodium chloride 0,9% 20 / 4 mg/ml 4°C Protect from light
8 Hour
1746
Level of evidence B

Polypropylen Syringe Water for Injection 25/5 mg/ml 2-8°C Protect from light
4 Hour
4922
Level of evidence D

Polyisoprene elastomer Sodium chloride 0,9% 10 / 1 mg/ml 23-27°C Not specified
12 Hour
5175
Manufacturer's stability data

Polyisoprene elastomer Sodium chloride 0,9% 10 / 1 mg/ml 3,5-4,5°C Not specified
24 Hour
5175
Manufacturer's stability data

Polyisoprene elastomer Sodium chloride 0,9% 12,5 / 1,25 mg/ml 23-27°C Not specified
12 Hour
5175
Manufacturer's stability data

Polyisoprene elastomer Sodium chloride 0,9% 12,5 / 1,25 mg/ml 3,5-4,5°C Not specified
24 Hour
5175
Manufacturer's stability data


  Mentions Légales