Ultimele actualizari :
27/04/2026
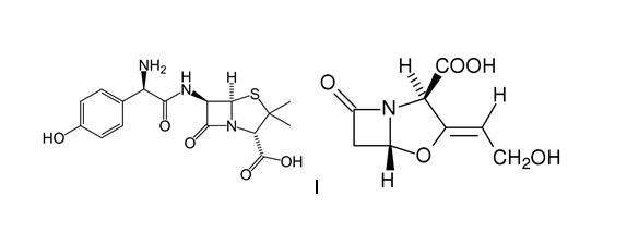
Antibiotic   Amoxicillin sodium / clavulanic acid  
Injectabil
Soluţie orală
Stabilitatea in solutie Stabilitatea in amestec Factorii care influenteaza stabilitatea Compatibilitate Microunde Bibliografie pdf
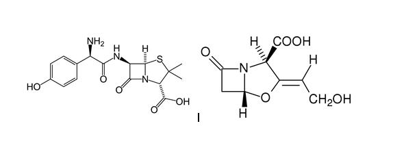
   Formula chimica  

Denumirea comerciala   Denumirea comerciala     

Trade names are indicative and excipients composition can be different depending on the country and manufacturers

Aktil Ungaria
Amoclan Arabia Saudita
Amoklavin Turcia
Amoksiklav Polonia
Amoxclav Arabia Saudita
Amplamox Brazilia
Augmentin Arabia Saudita, Austria, Belgia, Chilli, Ecuador, Elvetia, Emiratele Arabe Unite, Franta, Grecia, Italia, Marea Britanie, Olanda, Polonia, Spania, Turcia
Betamox Portugalia
Clavamox Austria
Clavicin Malaezia, Venezuela
Clavulin Brazilia
Co-amoxi Elvetia
Co-Amoxicillin Elvetia
Curam Arabia Saudita, noua Zeelandă
Darzitil Argentina
Dibional Argentina
Julmentin Emiratele Arabe Unite
Novamox Brazilia
Sulbamox Chilli
Tarometin Polonia
Trifamox Argentina, Columbia, Ecuador, Mexic
Stabilitatea in solutie   Injectabil   Stabilitatea in solutie : Amoxicillin sodium / clavulanic acid     
Continut Solvent Concentratie Temperatura Conservare Durata stabilității Bibiografie
poliolefine clorura de sodiu 0,9% 20 / 2 mg/ml 20-25°C Lumina
4 Ora
1746
Nivel de evidență B

poliolefine clorura de sodiu 0,9% 20 / 2 mg/ml 4°C Ferit de lumina
8 Ora
1746
Nivel de evidență B

poliolefine clorura de sodiu 0,9% 20 / 4 mg/ml 20-25°C Lumina
4 Ora
1746
Nivel de evidență B

poliolefine clorura de sodiu 0,9% 20 / 4 mg/ml 4°C Ferit de lumina
8 Ora
1746
Nivel de evidență B

seringă polipropileno apa pentru preparate injectabile 25/5 mg/ml 2-8°C Ferit de lumina
4 Ora
4922
Nivel de evidență D

Elastomer poliizoprenic clorura de sodiu 0,9% 10 / 1 mg/ml 23-27°C Neprecizat
12 Ora
5175
Documentele de stabilitate ale producătorului

Elastomer poliizoprenic clorura de sodiu 0,9% 10 / 1 mg/ml 3,5-4,5°C Neprecizat
24 Ora
5175
Documentele de stabilitate ale producătorului

Elastomer poliizoprenic clorura de sodiu 0,9% 12,5 / 1,25 mg/ml 23-27°C Neprecizat
12 Ora
5175
Documentele de stabilitate ale producătorului

Elastomer poliizoprenic clorura de sodiu 0,9% 12,5 / 1,25 mg/ml 3,5-4,5°C Neprecizat
24 Ora
5175
Documentele de stabilitate ale producătorului


  Mentions Légales