Utolsó frissítés :
27/01/2026
Antibiotikum   Amoxicillin sodium / clavulanic acid  
Injekció
belsőleges oldat
Az oldatok stabilitása A keverékek stabilitása Stabilitást befolyásoló tényezők Kompatibilitás Az alkalmazás módja Irodalom pdf
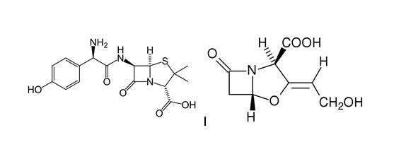
   Kémiai szerkezet   

Kereskedelmi név   Kereskedelmi név     

A kereskedelmi név meghatározó jelentőségű: a készítmények összetétele országonként, előállítóként eltérő lehet

Aktil Magyarország
Amoclan Szaúd-Arábiában
Amoklavin Törökország
Amoksiklav Lengyelország
Amoxclav Szaúd-Arábiában
Amplamox Brazília
Augmentin Ausztria, Belgium, Chile, Ecuador, Egyesült Arab Emírségek, Franciaország, Görögország, Hollandia, Lengyelország, Nagy-Britannia, Olaszország, Spanyolország, Svájc, Szaúd-Arábiában, Törökország
Betamox Portugália
Clavamox Ausztria
Clavicin Malaysia, Venezuela
Clavulin Brazília
Co-amoxi Svájc
Co-Amoxicillin Svájc
Curam Szaúd-Arábiában, új-Zéland
Darzitil Argentína
Dibional Argentína
Julmentin Egyesült Arab Emírségek
Novamox Brazília
Sulbamox Chile
Tarometin Lengyelország
Trifamox Argentína, Colombia, Ecuador, Mexikó
Az oldatok stabilitása   Injekció   Az oldatok stabilitása : Amoxicillin sodium / clavulanic acid     
Csomagolás Oldószer Koncentráció Hőmérséklet Tárolás A stabilitás időtartama Irodalom
Poliolefin 0,9% nátrium-klorid 20 / 2 mg/ml 20-25°C Fény
4 Óra
1746
Szintű bizonyítékot B

Poliolefin 0,9% nátrium-klorid 20 / 2 mg/ml 4°C Fénytől védve tartandó
8 Óra
1746
Szintű bizonyítékot B

Poliolefin 0,9% nátrium-klorid 20 / 4 mg/ml 20-25°C Fény
4 Óra
1746
Szintű bizonyítékot B

Poliolefin 0,9% nátrium-klorid 20 / 4 mg/ml 4°C Fénytől védve tartandó
8 Óra
1746
Szintű bizonyítékot B

fecskendő polipropilén Injekcióhoz való víz 25/5 mg/ml 2-8°C Fénytől védve tartandó
4 Óra
4922
Szintű bizonyítékot D


  Mentions Légales