Poslední aktualizace :
12/12/2025
Antibiotikas   Amoxicillin sodium / clavulanic acid  
Įpurškimas
Geriamas tirpalas
Tirpalų stabilumas Mišinių stabilumas Stabilumą lemiantys veiksniai Suderinamumas Leidimo būdai Bibliografija pdf
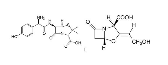
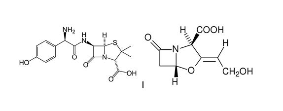
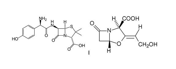
   Cheminė sandara  

Prekinis pavadinimas   Prekinis pavadinimas     

Trade names are indicative and excipients composition can be different depending on the country and manufacturers

Aktil Vengrija
Amoclan Saudo Arabija
Amoklavin Turkija
Amoksiklav Lenkija
Amoxclav Saudo Arabija
Amplamox Brazilija
Augmentin Austrija, Belgija, Čilė, Didžioji Britanija, Ekvadoras, Graikija, Ispanija, Italija, Jungtiniai Arabų Emyratai, Lenkija, Olandija, Prancūzija, Saudo Arabija, Šveicarija, Turkija
Betamox Portugalija
Clavamox Austrija
Clavicin Malaizija, Venesuela
Clavulin Brazilija
Co-amoxi Šveicarija
Co-Amoxicillin Šveicarija
Curam Naujojoje Zelandijoje, Saudo Arabija
Darzitil Argentina
Dibional Argentina
Julmentin Jungtiniai Arabų Emyratai
Novamox Brazilija
Sulbamox Čilė
Tarometin Lenkija
Trifamox Argentina, Ekvadoras, Kolumbija, Meksikas
Tirpalų stabilumas   Įpurškimas   Tirpalų stabilumas : Amoxicillin sodium / clavulanic acid     
Pakuotė Tirpiklis Koncentracija Temperatūra Laikymas Stabilumo trukmė Nuorodos
Poliolefinas Natrio chloridas 0,9% 20 / 2 mg/ml 20-25°C Šviesa
4 Valanda
1746
Bandymo lygis B

Poliolefinas Natrio chloridas 0,9% 20 / 2 mg/ml 4°C Apsaugotas nuo šviesos
8 Valanda
1746
Bandymo lygis B

Poliolefinas Natrio chloridas 0,9% 20 / 4 mg/ml 20-25°C Šviesa
4 Valanda
1746
Bandymo lygis B

Poliolefinas Natrio chloridas 0,9% 20 / 4 mg/ml 4°C Apsaugotas nuo šviesos
8 Valanda
1746
Bandymo lygis B

Švirkštas polipropileno Vanduo injekcijoms 25/5 mg/ml 2-8°C Apsaugotas nuo šviesos
4 Valanda
4922
Bandymo lygis D


  Mentions Légales