Последно актуализиране :
27/04/2026
Антибиотик   Amoxicillin sodium / clavulanic acid  
Инжекция/Инжекционен
Орален разтвор
Стабилност на разтвори Стабилност на смеси Фактори, повлияващи стабилността Съвместимост Път на въвеждане Библиография Pdf
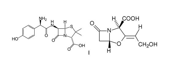
   Химична структура  

Търговско наименование   Търговско наименование     

Търговските имена са примерни и съставът на помощните вещества може да бъде различен в зависимост от държавата и лабораториите

Aktil Унгария
Amoclan Саудитска Арабия
Amoklavin Турция
Amoksiklav Полша
Amoxclav Саудитска Арабия
Amplamox Бразилия
Augmentin Австрия, Белгия, Великобритания, Гърция, Еквадор, Испания, Италия, Обединени арабски емирства, Полша, Саудитска Арабия, Турция, Франция, Холандия, Чили, Швейцария
Betamox Португалия
Clavamox Австрия
Clavicin Венецуела, Малайзия
Clavulin Бразилия
Co-amoxi Швейцария
Co-Amoxicillin Швейцария
Curam нова Зеландия, Саудитска Арабия
Darzitil Аржентина
Dibional Аржентина
Julmentin Обединени арабски емирства
Novamox Бразилия
Sulbamox Чили
Tarometin Полша
Trifamox Аржентина, Еквадор, Колумбия, Мексико
Стабилност на разтвори   Инжекция/Инжекционен   Стабилност на разтвори : Amoxicillin sodium / clavulanic acid     
Контейнер Разтворител Концентрация Температура Съхранение Продължителност на стабилността Библиография
Полиолефин Sodium chloride 0,9% 20 / 2 mg/ml 20-25°C Светлина
4 Час
1746
Степен на доказаност B

Полиолефин Sodium chloride 0,9% 20 / 2 mg/ml 4°C Защита от светлина
8 Час
1746
Степен на доказаност B

Полиолефин Sodium chloride 0,9% 20 / 4 mg/ml 20-25°C Светлина
4 Час
1746
Степен на доказаност B

Полиолефин Sodium chloride 0,9% 20 / 4 mg/ml 4°C Защита от светлина
8 Час
1746
Степен на доказаност B

шприц полипропилен Вода за инжекции 25/5 mg/ml 2-8°C Защита от светлина
4 Час
4922
Степен на доказаност D

Полиизопренов еластомер Sodium chloride 0,9% 10 / 1 mg/ml 23-27°C Не е уточнено
12 Час
5175
Данни за стабилност на производителя

Полиизопренов еластомер Sodium chloride 0,9% 10 / 1 mg/ml 3,5-4,5°C Не е уточнено
24 Час
5175
Данни за стабилност на производителя

Полиизопренов еластомер Sodium chloride 0,9% 12,5 / 1,25 mg/ml 23-27°C Не е уточнено
12 Час
5175
Данни за стабилност на производителя

Полиизопренов еластомер Sodium chloride 0,9% 12,5 / 1,25 mg/ml 3,5-4,5°C Не е уточнено
24 Час
5175
Данни за стабилност на производителя


  Mentions Légales