Seneste opdatering :
27/04/2026
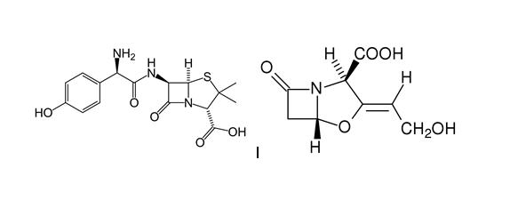
Antibiotisk   Amoxicillin sodium / clavulanic acid  
Injektion
Oral opløsning
Stabilitet i (vandige) opløsninger Stabilitet i blandinger Faktorer der påvirker stabiliteten Kompatibilitet Administrationsvej Bibliografi pdf
   Kemisk struktur  

Handelsnavn   Handelsnavn     

Handel navne er vejledende og hjælpestoffer sammensætning kan være forskellig afhængigt af landet og laboratorier

Aktil Ungarn
Amoclan Saudi-Arabien
Amoklavin Tyrkiet
Amoksiklav Polen
Amoxclav Saudi-Arabien
Amplamox Brasilien
Augmentin Belgien, Chile, Ecuador, Forenede Arabiske Emirater, Frankrig, Grækenland, Holland, Italien, Polen, Saudi-Arabien, Schweiz, Spanien, Storbritanien, Tyrkiet, Østrig
Betamox Portugal
Clavamox Østrig
Clavicin Malaysia, Venezuela
Clavulin Brasilien
Co-amoxi Schweiz
Co-Amoxicillin Schweiz
Curam New Zealand, Saudi-Arabien
Darzitil Argentina
Dibional Argentina
Julmentin Forenede Arabiske Emirater
Novamox Brasilien
Sulbamox Chile
Tarometin Polen
Trifamox Argentina, Colombia, Ecuador, Mexico
Stabilitet i (vandige) opløsninger   Injektion   Stabilitet i (vandige) opløsninger : Amoxicillin sodium / clavulanic acid     
Beholder Opløsningsmiddel Koncentration Temperatur Konservering Varighed af stabilitet Bibliografi
Polyolefin 0,9 % Natriumklorid 20 / 2 mg/ml 20-25°C Lys
4 Time
1746
Level af bevismateriale B

Polyolefin 0,9 % Natriumklorid 20 / 2 mg/ml 4°C Beskyt mod lys
8 Time
1746
Level af bevismateriale B

Polyolefin 0,9 % Natriumklorid 20 / 4 mg/ml 20-25°C Lys
4 Time
1746
Level af bevismateriale B

Polyolefin 0,9 % Natriumklorid 20 / 4 mg/ml 4°C Beskyt mod lys
8 Time
1746
Level af bevismateriale B

sprøjte polypropylen Vand til injektion 25/5 mg/ml 2-8°C Beskyt mod lys
4 Time
4922
Level af bevismateriale D

Polyisopren elastomer 0,9 % Natriumklorid 10 / 1 mg/ml 23-27°C Ikke nærmere angivet
12 Time
5175
Producentens stabilitet data

Polyisopren elastomer 0,9 % Natriumklorid 10 / 1 mg/ml 3,5-4,5°C Ikke nærmere angivet
24 Time
5175
Producentens stabilitet data

Polyisopren elastomer 0,9 % Natriumklorid 12,5 / 1,25 mg/ml 23-27°C Ikke nærmere angivet
12 Time
5175
Producentens stabilitet data

Polyisopren elastomer 0,9 % Natriumklorid 12,5 / 1,25 mg/ml 3,5-4,5°C Ikke nærmere angivet
24 Time
5175
Producentens stabilitet data


  Mentions Légales