آخر تحديث :
27/04/2026
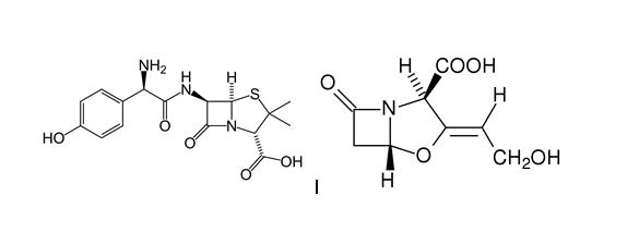
مضاد حيوي   Amoxicillin sodium / clavulanic acid  
حقن
عن طريق الفم
الاستقرار في حلول استقرار مخاليط العوامل التي تؤثر على الاستقرار التوافق طريقة التعاطي مراجع pdf
   التركيب الكيميائي  

حجز الاسم التجاري   حجز الاسم التجاري     

تحذير الأسماء التجاريه المختلفه قد تحتوي علي محتوي إضافات مختلفة حسب الدوله و المعمل

Aktil هنغاريا
Amoclan العربية السعودية
Amoklavin تركيا
Amoksiklav بولندا
Amoxclav العربية السعودية
Amplamox البرازيل
Augmentin إسبانيا, إيطاليا, الإكوادور, الإمارات العربية المتحدة, العربية السعودية, النمسا, بريطانيا العظمي, بلجيكا, بولندا, تركيا, تشيلي, سويسرا, فرنسا, هولندا, يونان
Betamox البرتغال
Clavamox النمسا
Clavicin فنزويلا, ماليزيا
Clavulin البرازيل
Co-amoxi سويسرا
Co-Amoxicillin سويسرا
Curam العربية السعودية, زيلاندا الجديدة
Darzitil الأرجنتين
Dibional الأرجنتين
Julmentin الإمارات العربية المتحدة
Novamox البرازيل
Sulbamox تشيلي
Tarometin بولندا
Trifamox الأرجنتين, الإكوادور, المكسيك, كولومبيا
الاستقرار في حلول   حقن   الاستقرار في حلول : Amoxicillin sodium / clavulanic acid     
حاوية مذيب تركيز درجة الحرارة تخزين مدة الاستقرار مراجع
البولي فين كلوريد الصوديوم 0.9% 20 / 2 mg/ml 20-25°C ضوء
4 ساعة
1746
B مستوى الأدلة

البولي فين كلوريد الصوديوم 0.9% 20 / 2 mg/ml 4°C بعيدا عن الضوء
8 ساعة
1746
B مستوى الأدلة

البولي فين كلوريد الصوديوم 0.9% 20 / 4 mg/ml 20-25°C ضوء
4 ساعة
1746
B مستوى الأدلة

البولي فين كلوريد الصوديوم 0.9% 20 / 4 mg/ml 4°C بعيدا عن الضوء
8 ساعة
1746
B مستوى الأدلة

محقنة البولي بروبلين حقن المياه لل 25/5 mg/ml 2-8°C بعيدا عن الضوء
4 ساعة
4922
D مستوى الأدلة

ولي إيزوبرين إلاستومر كلوريد الصوديوم 0.9% 10 / 1 mg/ml 23-27°C لم يتم تحديد
12 ساعة
5175
بيانات الشركة المصنعة \\ \'ق الاستقرار

ولي إيزوبرين إلاستومر كلوريد الصوديوم 0.9% 10 / 1 mg/ml 3,5-4,5°C لم يتم تحديد
24 ساعة
5175
بيانات الشركة المصنعة \\ \'ق الاستقرار

ولي إيزوبرين إلاستومر كلوريد الصوديوم 0.9% 12,5 / 1,25 mg/ml 23-27°C لم يتم تحديد
12 ساعة
5175
بيانات الشركة المصنعة \\ \'ق الاستقرار

ولي إيزوبرين إلاستومر كلوريد الصوديوم 0.9% 12,5 / 1,25 mg/ml 3,5-4,5°C لم يتم تحديد
24 ساعة
5175
بيانات الشركة المصنعة \\ \'ق الاستقرار


  Mentions Légales