Cập nhật lần cuối :
27/01/2026
Kháng sinh   Amoxicillin sodium / clavulanic acid  
Dạng tiêm
Dung dịch uống
Tính ổn định của các dung dịch Độ ổn định khi trộn lẫn Những yếu tố ảnh hưởng đến độ ổn định Khả năng tương thích Đường dùng Tài liệu tham khảo Pdf
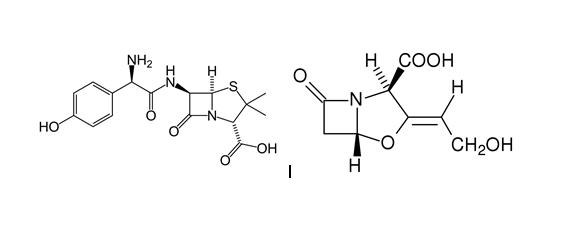
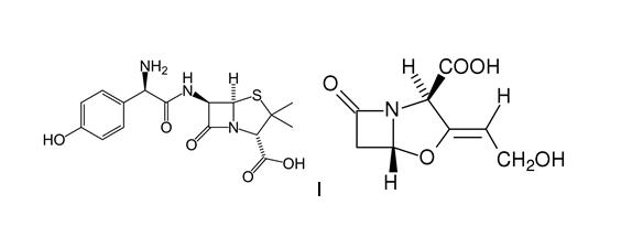
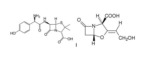
   Cấu trúc hóa học  

Tên thương mại   Tên thương mại     

Các tên thương mại được cung cấp và thành phần tá dược có thể khác nhau giữa các quốc gia và các hãng dược

Aktil Hungary
Amoclan Ả Rập Saudi
Amoklavin Thổ Nhĩ Kỳ
Amoksiklav Ba Lan
Amoxclav Ả Rập Saudi
Amplamox Brazil
Augmentin Ả Rập Saudi, Anh, Áo, Ba Lan, Bỉ, Chile, Ecuador, Hà Lan, Hy Lạp, Pháp, Tây Ban Nha, Thổ Nhĩ Kỳ, Thụy Sỹ, United Arab Emirates, Ý
Betamox Bồ Đào Nha
Clavamox Áo
Clavicin Malaysia, Venezuela
Clavulin Brazil
Co-amoxi Thụy Sỹ
Co-Amoxicillin Thụy Sỹ
Curam Ả Rập Saudi, new zealand
Darzitil Argentina
Dibional Argentina
Julmentin United Arab Emirates
Novamox Brazil
Sulbamox Chile
Tarometin Ba Lan
Trifamox Argentina, Colombia, Ecuador, Mexico
Tính ổn định của các dung dịch   Dạng tiêm   Tính ổn định của các dung dịch : Amoxicillin sodium / clavulanic acid     
Bao bì Dung môi Nồng độ Nhiệt độ Bảo quản Thời gian ổn định Mục lục
Nhựa polyolefin NaCl 0,9% 20 / 2 mg/ml 20-25°C Ánh sáng
4 Giờ
1746
Cấp độ bằng chứng B

Nhựa polyolefin NaCl 0,9% 20 / 2 mg/ml 4°C Tránh ánh sáng
8 Giờ
1746
Cấp độ bằng chứng B

Nhựa polyolefin NaCl 0,9% 20 / 4 mg/ml 20-25°C Ánh sáng
4 Giờ
1746
Cấp độ bằng chứng B

Nhựa polyolefin NaCl 0,9% 20 / 4 mg/ml 4°C Tránh ánh sáng
8 Giờ
1746
Cấp độ bằng chứng B

ống tiêm polypropylene Nước cất pha tiêm 25/5 mg/ml 2-8°C Tránh ánh sáng
4 Giờ
4922
Cấp độ bằng chứng D


  Mentions Légales