Ultimo aggiornamento :
27/04/2026
Antibiotico   Amoxicillin sodium / clavulanic acid  
Iniezione
Soluzione orale
Stabilità in soluzione Stabilità in miscela Fattori che influenzano la stabilità Compatibilità metodo di iniezione Bibliografia pdf
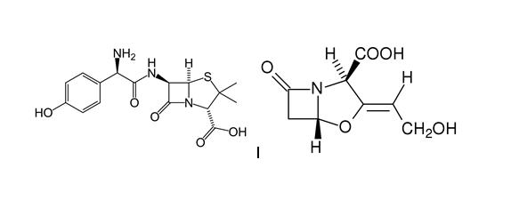
   Struttura chimica  

Nome commerciale   Nome commerciale     

Trade names are indicative and excipients composition can be different depending on the country and manufacturers

Aktil Ungheria
Amoclan Arabia Saudita
Amoklavin Turchia
Amoksiklav Polonia
Amoxclav Arabia Saudita
Amplamox Brasile
Augmentin Arabia Saudita, Austria, Belgio, Chile, Ecuador, Emirati Arabi Uniti, Francia, Gran Bretagna, Grecia, Italia, Paesi Bassi, Polonia, Spagna, Svizzera, Turchia
Betamox Portogallo
Clavamox Austria
Clavicin Malaysia, Venezuela
Clavulin Brasile
Co-amoxi Svizzera
Co-Amoxicillin Svizzera
Curam Arabia Saudita, nuova Zelanda
Darzitil Argentina
Dibional Argentina
Julmentin Emirati Arabi Uniti
Novamox Brasile
Sulbamox Chile
Tarometin Polonia
Trifamox Argentina, Colombia, Ecuador, Messico
Stabilità in soluzione   Iniezione   Stabilità in soluzione : Amoxicillin sodium / clavulanic acid     
contenitore Solvente Concentrazione Temperatura Conservazione Durata della stabilità Bibliografia
Poliolefina Cloruro di sodio 0,9% 20 / 2 mg/ml 20-25°C Luce
4 Ora
1746
Livello di evidenza B

Poliolefina Cloruro di sodio 0,9% 20 / 2 mg/ml 4°C Al riparo dalla luce
8 Ora
1746
Livello di evidenza B

Poliolefina Cloruro di sodio 0,9% 20 / 4 mg/ml 20-25°C Luce
4 Ora
1746
Livello di evidenza B

Poliolefina Cloruro di sodio 0,9% 20 / 4 mg/ml 4°C Al riparo dalla luce
8 Ora
1746
Livello di evidenza B

siringa polipropilene Acqua per preparato iniettabile 25/5 mg/ml 2-8°C Al riparo dalla luce
4 Ora
4922
Livello di evidenza D

Elastomero poliisoprenico Cloruro di sodio 0,9% 10 / 1 mg/ml 23-27°C Non precisata
12 Ora
5175
Dati di stabilità del produttore

Elastomero poliisoprenico Cloruro di sodio 0,9% 10 / 1 mg/ml 3,5-4,5°C Non precisata
24 Ora
5175
Dati di stabilità del produttore

Elastomero poliisoprenico Cloruro di sodio 0,9% 12,5 / 1,25 mg/ml 23-27°C Non precisata
12 Ora
5175
Dati di stabilità del produttore

Elastomero poliisoprenico Cloruro di sodio 0,9% 12,5 / 1,25 mg/ml 3,5-4,5°C Non precisata
24 Ora
5175
Dati di stabilità del produttore


  Mentions Légales