Posledná aktualizácia :
05/12/2025
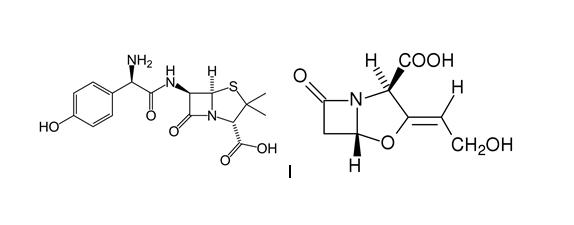
antibiotikum   Amoxicillin sodium / clavulanic acid  
Injekcia
Perorálny roztok
Stabilita roztokov Stabilita v zmesiach Faktory ovplyvňujúce stabilitu Kompatibility spôsob podania Odkazy na literatúru PDF
   Chemický vzorec  

Obchodný názov   Obchodný názov     

Obchodné názvy sú orientačné, a zloženie pomocných látok sa môže líšiť v závislosti od krajiny a výrobcu.

Aktil Maďarsko
Amoclan Saudská Arábia
Amoklavin Turecko
Amoksiklav Poľsko
Amoxclav Saudská Arábia
Amplamox Brazília
Augmentin Belgicko, Čile, Ekvádor, Francúzsko, Grécko, Holandsko, Poľsko, Rakúsko, Saudská Arábia, Španielsko, Spojené arabské emiráty, Švajčiarsko, Taliansko, Turecko, Veľká Británia
Betamox Portugalsko
Clavamox Rakúsko
Clavicin Malajzia, Venezuela
Clavulin Brazília
Co-amoxi Švajčiarsko
Co-Amoxicillin Švajčiarsko
Curam nový Zéland, Saudská Arábia
Darzitil Argentína
Dibional Argentína
Julmentin Spojené arabské emiráty
Novamox Brazília
Sulbamox Čile
Tarometin Poľsko
Trifamox Argentína, Ekvádor, Kolumbia, Mexiko
Stabilita roztokov   Injekcia   Stabilita roztokov : Amoxicillin sodium / clavulanic acid     
obal rozpúšťadlo koncentrácia teplota uchovávanie Trvanie stability odkazy na lieteratúru
polyolefín 0,9% chlorid sodný 20 / 2 mg/ml 20-25°C Za svetla
4 hodín
1746
Úroveň dôkazov B

polyolefín 0,9% chlorid sodný 20 / 2 mg/ml 4°C Chránené pred svetlom
8 hodín
1746
Úroveň dôkazov B

polyolefín 0,9% chlorid sodný 20 / 4 mg/ml 20-25°C Za svetla
4 hodín
1746
Úroveň dôkazov B

polyolefín 0,9% chlorid sodný 20 / 4 mg/ml 4°C Chránené pred svetlom
8 hodín
1746
Úroveň dôkazov B

Injekčná striekačka polypropylén voda na injekciu 25/5 mg/ml 2-8°C Chránené pred svetlom
4 hodín
4922
Úroveň dôkazov D


  Mentions Légales