Última actualização :
27/01/2026
antibiótico   Amoxicillin sodium / clavulanic acid  
injetável
Solução Oral
Estabilidade em soluções simples Estabilidade em misturas Factores que afectam a sua estabilidade Compatibilidade Método de administração Bibliografía pdf
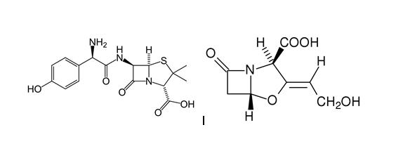
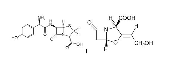
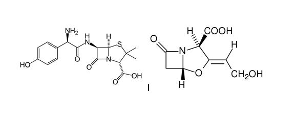
   estrutura química  

Nomes comerciais nos diversos países   Nomes comerciais nos diversos países     

OS NOMES COMERCIAIS SÃO INDICATIVOS E OS EXCIPIENTES DA FORMULAÇÃO PODEM SER DIFERENTES CONFORME O PAÍS E FABRICANTE.

Aktil Hungria
Amoclan Arábia Saudita
Amoklavin Turquia
Amoksiklav Polonia
Amoxclav Arábia Saudita
Amplamox Brasil
Augmentin Arábia Saudita, Austria, Bélgica, Chilli, Emirados Árabes Unidos, Equator, Espanha, França, Gran-bretanha, Grècia, Itália, Países Baixos, Polonia, Suicia, Turquia
Betamox Portugal
Clavamox Austria
Clavicin Malásia, Venezuela
Clavulin Brasil
Co-amoxi Suicia
Co-Amoxicillin Suicia
Curam Arábia Saudita, nova Zelândia
Darzitil Argentina
Dibional Argentina
Julmentin Emirados Árabes Unidos
Novamox Brasil
Sulbamox Chilli
Tarometin Polonia
Trifamox Argentina, Colômbia, Equator, México
Estabilidade em soluções simples   injetável   Estabilidade em soluções simples : Amoxicillin sodium / clavulanic acid     
Embalagem Solvente concentração temperatura conservação Duração da estabilidade Bibliografia
Poliolefina cloreto de sódio 0,9% 20 / 2 mg/ml 20-25°C luz
4 hora
1746
Nível de evidência B

Poliolefina cloreto de sódio 0,9% 20 / 2 mg/ml 4°C ao abrigo da luz
8 hora
1746
Nível de evidência B

Poliolefina cloreto de sódio 0,9% 20 / 4 mg/ml 20-25°C luz
4 hora
1746
Nível de evidência B

Poliolefina cloreto de sódio 0,9% 20 / 4 mg/ml 4°C ao abrigo da luz
8 hora
1746
Nível de evidência B

seringa polipropylen Agua para injectaveis 25/5 mg/ml 2-8°C ao abrigo da luz
4 hora
4922
Nível de evidência D


  Mentions Légales