Laatste update :
05/12/2025
Antibioticum   Amoxicillin sodium / clavulanic acid  
injecteerbaar geneesmiddel
Orale Oplossing
Stabiliteit in oplossing Stabiliteit in mengsels Factoren die de stabiliteit beïnvloeden Verenigbaarheden Toedieningswijze Literatuur pdf
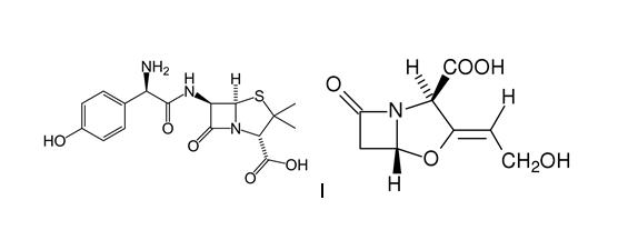
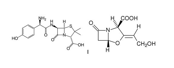
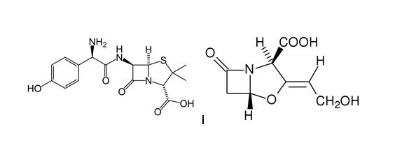
   Molecuulstructuur  

Merknamen in verschillende landen   Merknamen in verschillende landen     

Handelsnamen zijn slechts een indicatie; de samenstelling van hulpstoffen kan per land variëren afhankelijk van de fabrikant

Aktil Hongarije
Amoclan Saudi-Arabië
Amoklavin Turkije
Amoksiklav Polen
Amoxclav Saudi-Arabië
Amplamox Brazilië
Augmentin België, Chili, Ecuador, Frankrijk, Griekenland, Groot Britannië, Italië, Nederland, Oostenrijk, Polen, Saudi-Arabië, Spanje, Turkije, Verenigde Arabische Emiraten, Zwitserland
Betamox Portugal
Clavamox Oostenrijk
Clavicin Maleisië, Venezuela
Clavulin Brazilië
Co-amoxi Zwitserland
Co-Amoxicillin Zwitserland
Curam nieuw Zeeland, Saudi-Arabië
Darzitil Argentinië
Dibional Argentinië
Julmentin Verenigde Arabische Emiraten
Novamox Brazilië
Sulbamox Chili
Tarometin Polen
Trifamox Argentinië, Colombia, Ecuador, Mexico
Stabiliteit in oplossing   injecteerbaar geneesmiddel   Stabiliteit in oplossing : Amoxicillin sodium / clavulanic acid     
Verpakking Oplosmiddel Concentratie Temperatuur Bewaring Duur van de stabiliteit Literatuur
Polyolefine Natriumchloride 0,9% 20 / 2 mg/ml 20-25°C Licht
4 Uur
1746
Bewijsniveau B

Polyolefine Natriumchloride 0,9% 20 / 2 mg/ml 4°C Buiten invloed van licht
8 Uur
1746
Bewijsniveau B

Polyolefine Natriumchloride 0,9% 20 / 4 mg/ml 20-25°C Licht
4 Uur
1746
Bewijsniveau B

Polyolefine Natriumchloride 0,9% 20 / 4 mg/ml 4°C Buiten invloed van licht
8 Uur
1746
Bewijsniveau B

injectiespuit polypropyleen Water voor injectie 25/5 mg/ml 2-8°C Buiten invloed van licht
4 Uur
4922
Bewijsniveau D


  Mentions Légales