Letztes “update” :
27/01/2026
Antibiotikum   Amoxicillin sodium / clavulanic acid  
Injektion
Lösung zum Einnehmen
Stabilität der Lösung Gemengestabilität Stabilitätbeeinflussende Faktoren Kompatibilitäten Applikationsart Literaturverzeichnis pdf
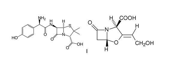
   Chemische Struktur  

Handelsmarke   Handelsmarke     

Handelsnamen sind als beispielhaft anzusehen. Sonstige Bestandteile können je nach Hersteller oder Land verschieden sein

Aktil Ungarn
Amoclan Saudi-Arabien
Amoklavin Türkei
Amoksiklav Polen
Amoxclav Saudi-Arabien
Amplamox Brasilien
Augmentin Belgien, Chile, Ecuador, Frankreich, Griechenland, Großbritannien, Italien, Niederlande, Österreich, Polen, Saudi-Arabien, Schweiz, Spanien, Türkei, Vereinigte Arabische Emirate
Betamox Portugal
Clavamox Österreich
Clavicin Malaysia, Venezuela
Clavulin Brasilien
Co-amoxi Schweiz
Co-Amoxicillin Schweiz
Curam Neuseeland, Saudi-Arabien
Darzitil Argentinien
Dibional Argentinien
Julmentin Vereinigte Arabische Emirate
Novamox Brasilien
Sulbamox Chile
Tarometin Polen
Trifamox Argentinien, Ecuador, Kolumbien, Mexiko
Stabilität der Lösung   Injektion   Stabilität der Lösung : Amoxicillin sodium / clavulanic acid     
Behälter Lösungsmittel Konzentration Temperatur Konservierung Dauer der Stabilität Literaturverzeichnis
Polyolefin 0,9% Natriumchlorid 20 / 2 mg/ml 20-25°C Licht
4 Stunde
1746
Evidenzgrad B

Polyolefin 0,9% Natriumchlorid 20 / 2 mg/ml 4°C Ohne Licht
8 Stunde
1746
Evidenzgrad B

Polyolefin 0,9% Natriumchlorid 20 / 4 mg/ml 20-25°C Licht
4 Stunde
1746
Evidenzgrad B

Polyolefin 0,9% Natriumchlorid 20 / 4 mg/ml 4°C Ohne Licht
8 Stunde
1746
Evidenzgrad B

 Spritze Polypropylen Wasser für injektable präparate 25/5 mg/ml 2-8°C Ohne Licht
4 Stunde
4922
Evidenzgrad D


  Mentions Légales