Останнє оновлення :
27/04/2026
Антибіотик   Amoxicillin sodium / clavulanic acid  
ін'єкція
Розчин для перорального застосування
Стійкість в розчинах Стійкість сумішей Фактори, що впливають на стабільність Сумісність Шлях введення Список літератури pdf
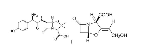
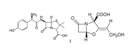
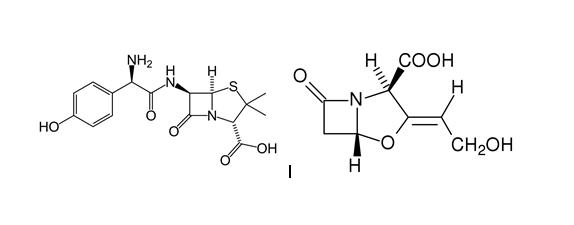
   Хімічна структура  

Торгова назва   Торгова назва     

Торгові назви є орієнтовними, а склад допоміжних речовин може бути різним залежно від країни та виробника

Aktil Угорщина
Amoclan Саудівська Аравія
Amoklavin Туреччина
Amoksiklav Польща
Amoxclav Саудівська Аравія
Amplamox Бразилія
Augmentin Іспанія, Італія, Австрія, Бельгія, Великобританія, Греція, Еквадор, Нідерланди, Об'єднані Арабські Емірати, Польща, Саудівська Аравія, Туреччина, Франція, Чилі, Швейцарія
Betamox Португалія
Clavamox Австрія
Clavicin Венесуела, Малайзія
Clavulin Бразилія
Co-amoxi Швейцарія
Co-Amoxicillin Швейцарія
Curam Нова Зеландія, Саудівська Аравія
Darzitil Аргентина
Dibional Аргентина
Julmentin Об'єднані Арабські Емірати
Novamox Бразилія
Sulbamox Чилі
Tarometin Польща
Trifamox Аргентина, Еквадор, Колумбія, Мексика
Стійкість в розчинах   ін'єкція   Стійкість в розчинах : Amoxicillin sodium / clavulanic acid     
Контейнер Розчинник Концентрація температура Зберігання Тривалість стабільності Список літератури
Поліолефін Натрію хлорид 0,9% 20 / 2 mg/ml 20-25°C світло
4 годину
1746
Рівень доказовості B

Поліолефін Натрію хлорид 0,9% 20 / 2 mg/ml 4°C Берегти від світла
8 годину
1746
Рівень доказовості B

Поліолефін Натрію хлорид 0,9% 20 / 4 mg/ml 20-25°C світло
4 годину
1746
Рівень доказовості B

Поліолефін Натрію хлорид 0,9% 20 / 4 mg/ml 4°C Берегти від світла
8 годину
1746
Рівень доказовості B

Поліпропіленовий шприц Вода для ін'єкцій 25/5 mg/ml 2-8°C Берегти від світла
4 годину
4922
Рівень доказовості D

Поліізопреновий еластомер Натрію хлорид 0,9% 10 / 1 mg/ml 23-27°C Не визначено
12 годину
5175
Дані виробника про стабільність

Поліізопреновий еластомер Натрію хлорид 0,9% 10 / 1 mg/ml 3,5-4,5°C Не визначено
24 годину
5175
Дані виробника про стабільність

Поліізопреновий еластомер Натрію хлорид 0,9% 12,5 / 1,25 mg/ml 23-27°C Не визначено
12 годину
5175
Дані виробника про стабільність

Поліізопреновий еластомер Натрію хлорид 0,9% 12,5 / 1,25 mg/ml 3,5-4,5°C Не визначено
24 годину
5175
Дані виробника про стабільність


  Mentions Légales