Pēdējā atjaunošana :
27/01/2026
Antibiotika   Amoxicillin sodium / clavulanic acid  
Injekcija
Orāls šķīdums
Šķīduma stabilitāte Maisījuma stabilitāte Stabilitāti ietekmējoši faktori Saderība Levadīšanas veids Literatūras saraksts pdf
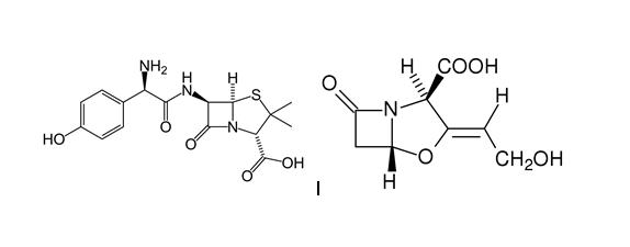
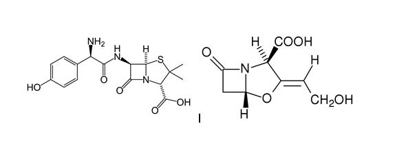
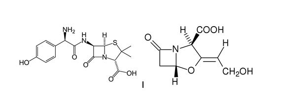
   Ķīmiskā uzbūve   

Oriģinālais nosaukums   Oriģinālais nosaukums     

Tirdzniecības nosaukumi ir apzīmējoši un palīgvielas var atšķirties dažādām valstīm un laboratorijām

Aktil Ungārija
Amoclan Saūda Arābija
Amoklavin Turcija
Amoksiklav Polija
Amoxclav Saūda Arābija
Amplamox Brazīlija
Augmentin Apvienotie Arābu Emirāti, Austrija, Beļģija, Čīle, Ekvadora, Francija, Grieķija, Holande, Itālija, Lielbritānija, Polija, Saūda Arābija, Spānija, Šveice, Turcija
Betamox Portugāle
Clavamox Austrija
Clavicin Malaizija, Venecuēla
Clavulin Brazīlija
Co-amoxi Šveice
Co-Amoxicillin Šveice
Curam Jaunzēlande, Saūda Arābija
Darzitil Argentīna
Dibional Argentīna
Julmentin Apvienotie Arābu Emirāti
Novamox Brazīlija
Sulbamox Čīle
Tarometin Polija
Trifamox Argentīna, Ekvadora, Kolumbija, Meksika
Šķīduma stabilitāte   Injekcija   Šķīduma stabilitāte : Amoxicillin sodium / clavulanic acid     
Iepakojums Šķīdinātājs Koncentrācija Temperatūra Glabāšana Stabilitātes ilgums Literatūras saraksts
Poliolefīns Nātrija hlorīds 0.9% 20 / 2 mg/ml 20-25°C Gaisma
4 Stunda
1746
Pierādījumu līmenis B

Poliolefīns Nātrija hlorīds 0.9% 20 / 2 mg/ml 4°C Aizsargāt no gaismas
8 Stunda
1746
Pierādījumu līmenis B

Poliolefīns Nātrija hlorīds 0.9% 20 / 4 mg/ml 20-25°C Gaisma
4 Stunda
1746
Pierādījumu līmenis B

Poliolefīns Nātrija hlorīds 0.9% 20 / 4 mg/ml 4°C Aizsargāt no gaismas
8 Stunda
1746
Pierādījumu līmenis B

Šļirce polipropilēna Ūdens injekcijām 25/5 mg/ml 2-8°C Aizsargāt no gaismas
4 Stunda
4922
Pierādījumu līmenis D


  Mentions Légales