Останнє оновлення :
27/01/2026
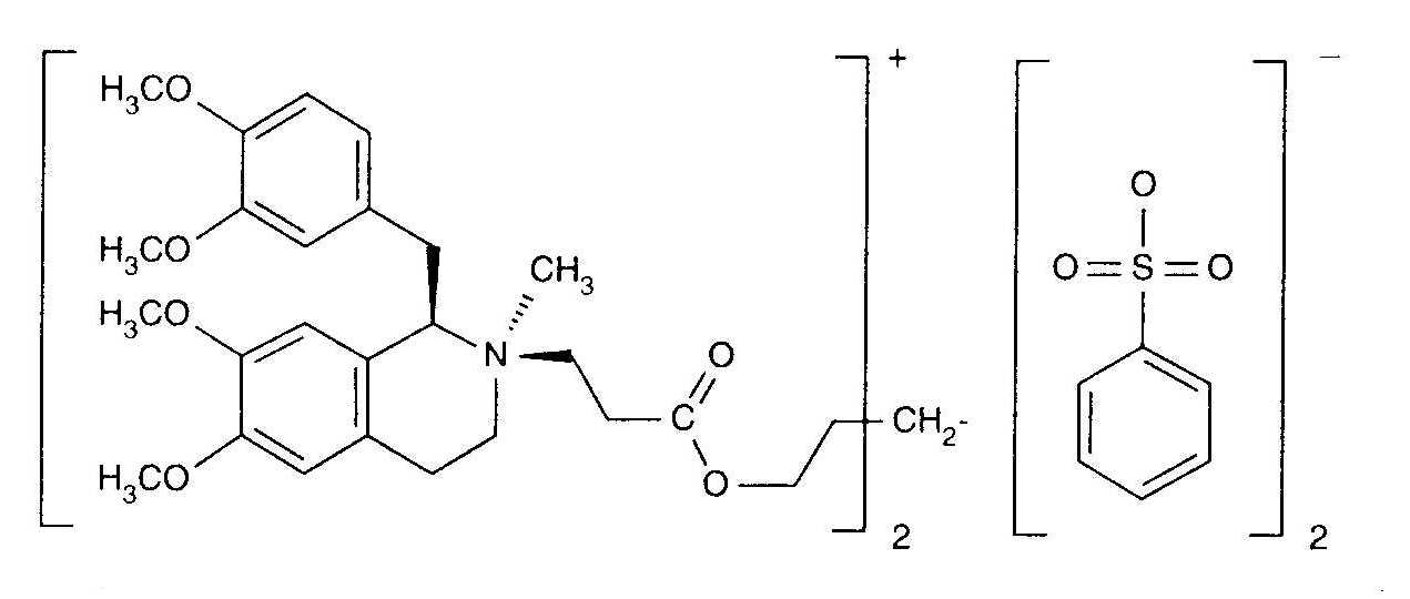
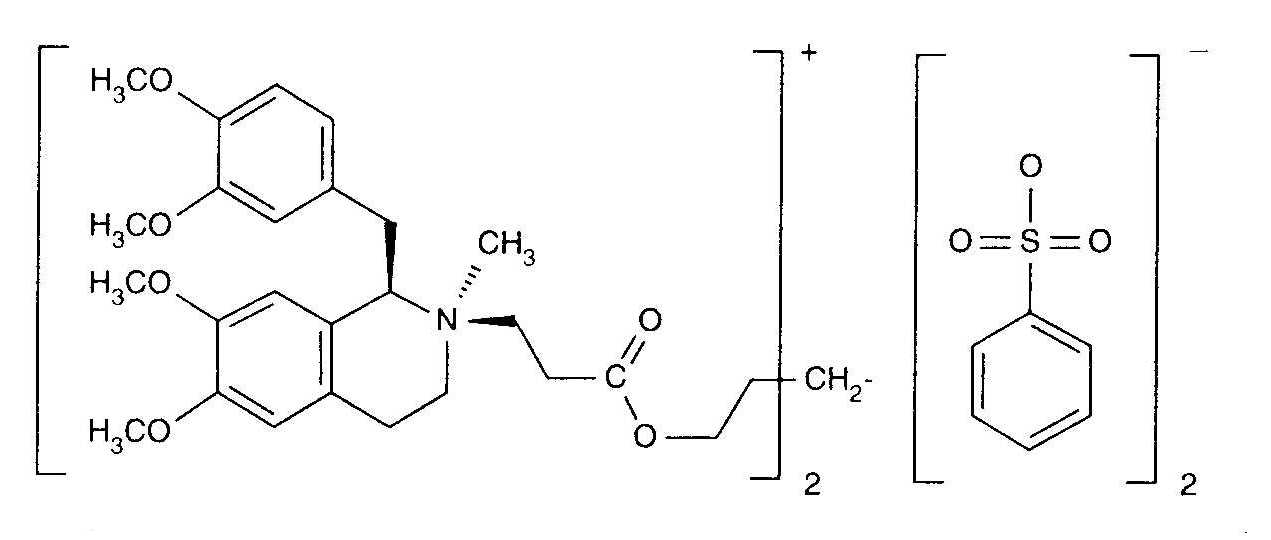
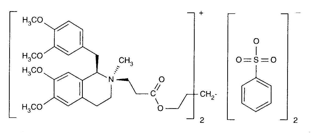
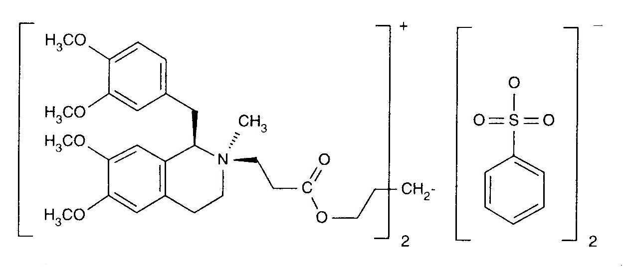
Курариміметик   Cisatracurium besylate  
ін'єкція
Стійкість в розчинах Стійкість сумішей Фактори, що впливають на стабільність Сумісність Шлях введення Список літератури pdf
   Хімічна структура  

Торгова назва   Торгова назва     

Торгові назви є орієнтовними, а склад допоміжних речовин може бути різним залежно від країни та виробника

Bensitrak Мексика
Besilato de cisatracurio
Cicuryl Мексика
Cirium Колумбія
Cis Atracure
Cisatracurio Іспанія, Італія, Бразилія, Еквадор, Колумбія, Перу, Чилі
Cisatracurium Ірландія, Бельгія, Великобританія, Канада, Німеччина, Туніс, Угорщина, Фінляндія, Франція
Nimbex Єгипет, Іран, Ірландія, Іспанія, Італія, Австрія, Бельгія, Великобританія, Венесуела, Греція, Данія, Еквадор, Канада, Люксембург, Малайзія, Мексика, Нідерланди, Німеччина, Норвегія, Об'єднані Арабські Емірати, Перу, Польща, Португалія, Саудівська Аравія, Словенія, Сполучені Штати Америки, Туніс, Туреччина, Угорщина, Фінляндія, Франція, Чилі, Швеція
Nimbium Бразилія, Колумбія

Фактори, що впливають на стабільність   ін'єкція   Фактори, що впливають на стабільність : Cisatracurium besylate        
Список літератури
Розчинник Розчин лактату Рінгера Спонукає хімічна деградація 3601
Розчинник NaHCO3 Спонукає хімічна деградація 299
3466
3823
pH pH >7 Спонукає хімічна деградація 3601

  Mentions Légales