Última actualización :
27/04/2026
Curarizante   Cisatracurium besylate  
Inyectables
Estabilidad en solucion Estabilidad en mezcla Factores que influyen sobre la estabilidad Compatibilidades método de inyección Bibliografía pdf
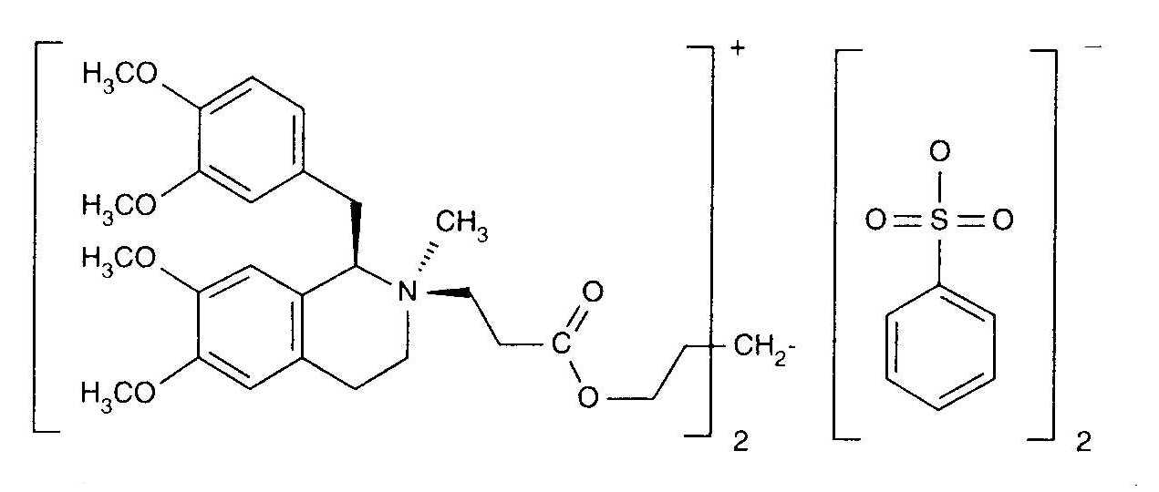
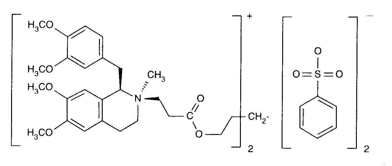
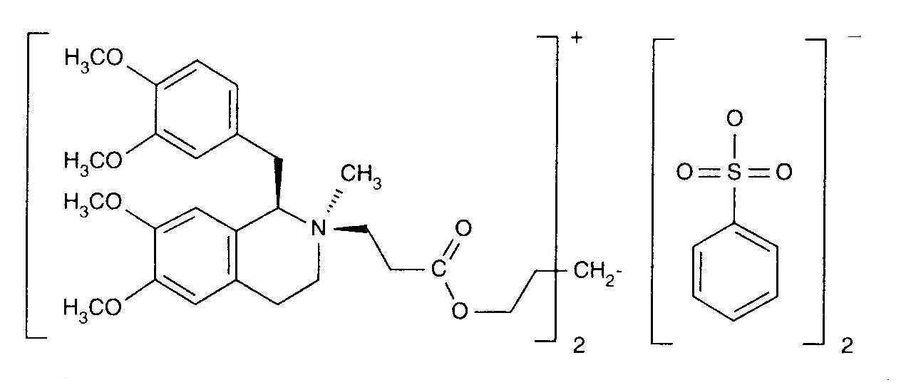
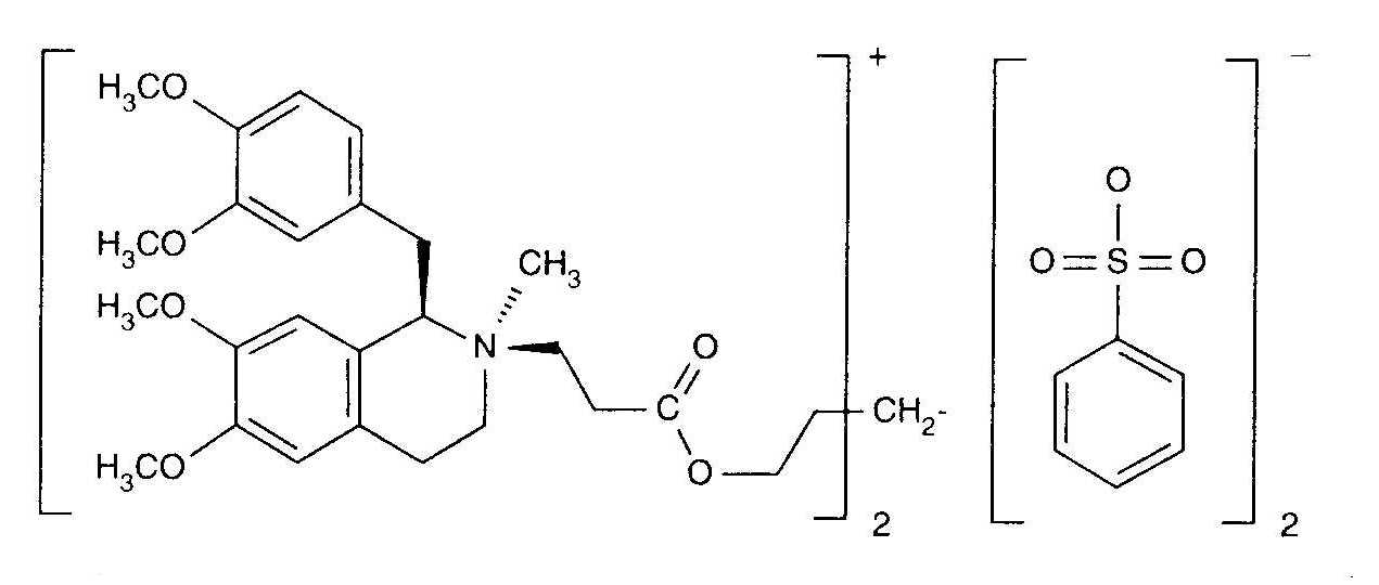
   Estructura química  

Nombre comercial   Nombre comercial     

Los nombres comerciales son orientativos y los excipientes de la formulación pueden ser distintos dependiendo del país y del laboratorio fabricante.

Bensitrak México
Besilato de cisatracurio
Cicuryl México
Cirium Colombia
Cis Atracure
Cisatracurio Brasil, Chile, Colombia, Ecuador, España, Italia, Marruecos
Cisatracurium Alemania, Bélgica, Canadá, Finlandia, Francia, Gran Bretaña, Hungría, Irlanda, Túnez
Nimbex Alemania, Arabia Saudita, Austria, Bélgica, Canadá, Chile, Dinamarca, Ecuador, Egipto, Emiratos Árabes Unidos, Eslovenia, España, Estados Unidos de América, Finlandia, Francia, Gran Bretaña, Grecia, Hungría, Irán, Irlanda, Italia, Luxemburgo, Malasia, Marruecos, México, Noruega, Países Bajos, Polonia, Portugal, Suecia, Túnez, Turquía, Venezuela
Nimbium Brasil, Colombia

Factores que influyen sobre la estabilidad   Inyectables   Factores que influyen sobre la estabilidad : Cisatracurium besylate        
Bibliografía
Solvente Ringer lactato Provoque Degradación 3601
Solvente NaHCO3 Provoque Degradación 299
3466
3823
pH pH >7 Provoque Degradación 3601

  Mentions Légales