Viimeisin päivitys :
27/01/2026
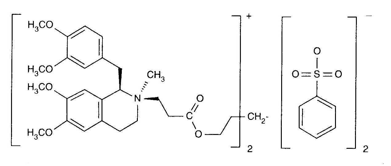
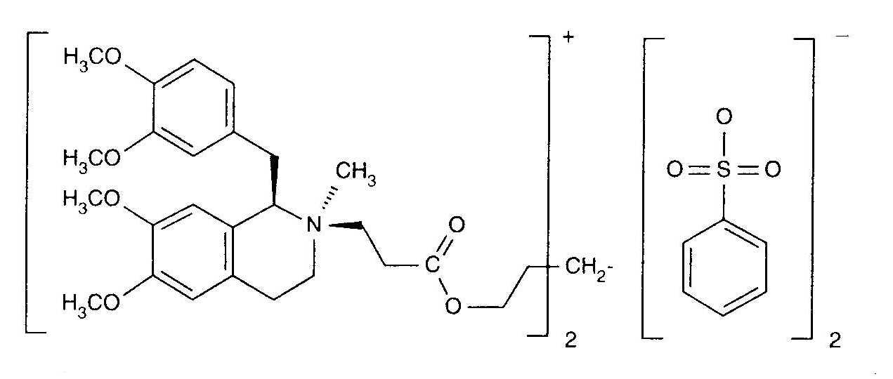
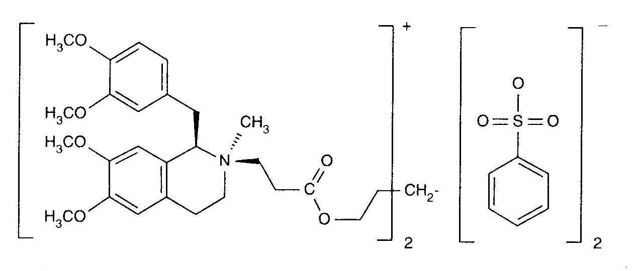
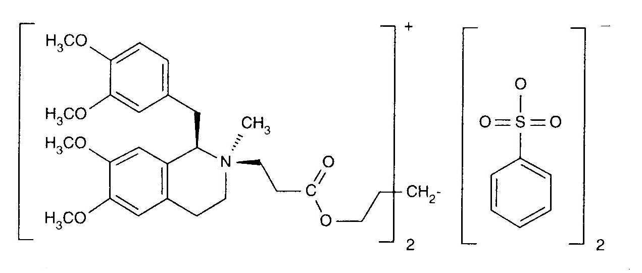
Lihasrelaksantit   Cisatracurium besylate  
Injektioneste
Stabilius liuoksessa Stabilius seoksissa Tekijät, jotka vaikuttavat stabiliuteen Yhteensopivuus Antotapa Viitteet pdf
   Kemiallinen rakenne  

Kauppanimi   Kauppanimi     

Trade names are indicative and excipients composition can be different depending on the country and manufacturers

Bensitrak Meksiko
Besilato de cisatracurio
Cicuryl Meksiko
Cirium Kolumbia
Cis Atracure
Cisatracurio Brasilia, Chile, Ecuador, Espanja, Italia, Kolumbia, Marokko
Cisatracurium Belgia, Irlanti, Iso-Britannia, Kanada, Ranska, Saksa, Suomi, Tunisia, Unkari
Nimbex Belgia, Chile, Ecuador, Egypti, Espanja, Hollanti, Iran, Irlanti, Iso-Britannia, Italia, Itävalta, Kanada, Kreikka, Luxemburg, Malesia, Marokko, Meksiko, Norja, Portugali, Puola, Ranska, Ruotsi, Saksa, Saudi-Arabia, Slovenia, Suomi, Tanska, Tunisia, Turkki, Unkari, Venezuela, Yhdistyneet arabiemiirikunnat, Yhdysvallat
Nimbium Brasilia, Kolumbia

Tekijät, jotka vaikuttavat stabiliuteen   Injektioneste   Tekijät, jotka vaikuttavat stabiliuteen : Cisatracurium besylate        
Viitteet
Liuotin Ringerlaktaattiliuos Aiheuttaa Hajoaminen 3601
Liuotin NaHCO3 Aiheuttaa Hajoaminen 299
3466
3823
pH pH >7 Aiheuttaa Hajoaminen 3601

  Mentions Légales