Senaste uppdateringen :
27/01/2026
Muskel avslappande medel   Cisatracurium besylate  
injektion
Lösningars stabilitet Stabilitet i blandningar Faktorer som påverkar stabiliteten Kompatibilitet Administreringssätt Hänvisningar pdf
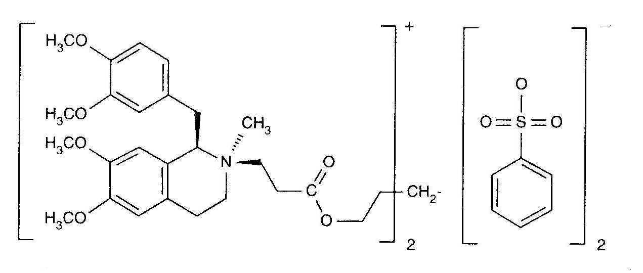
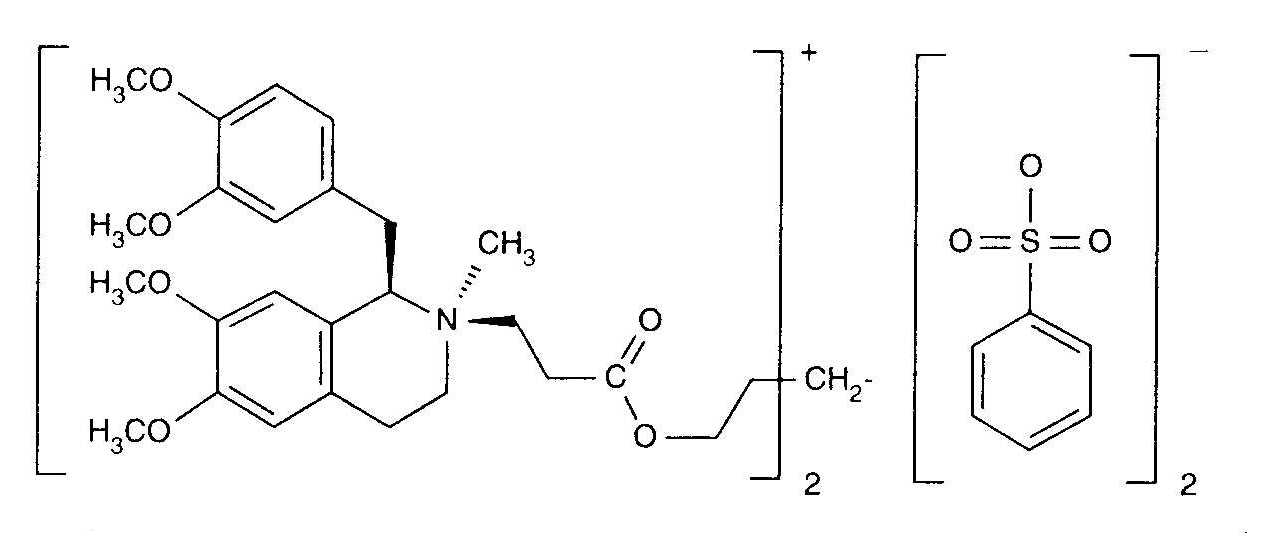
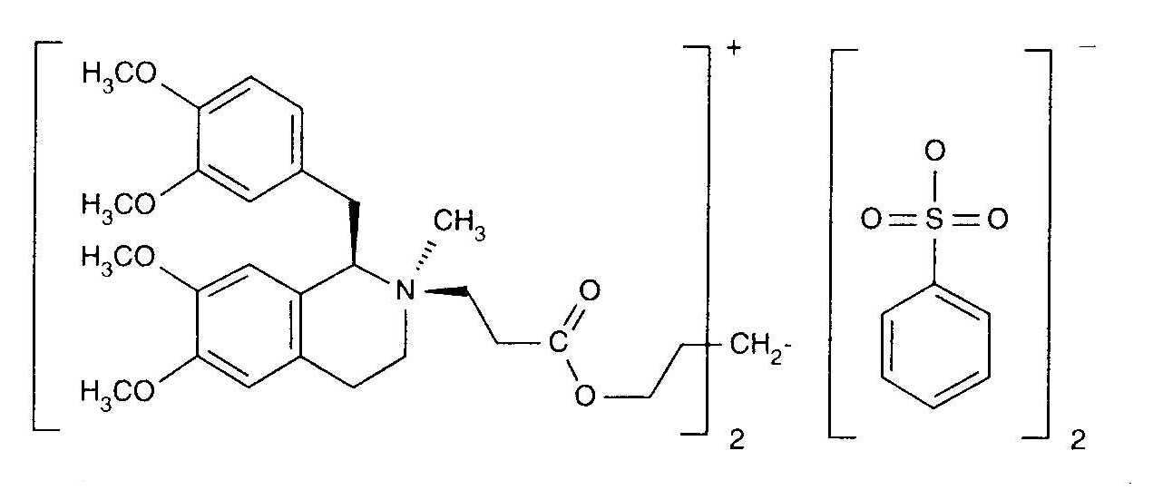
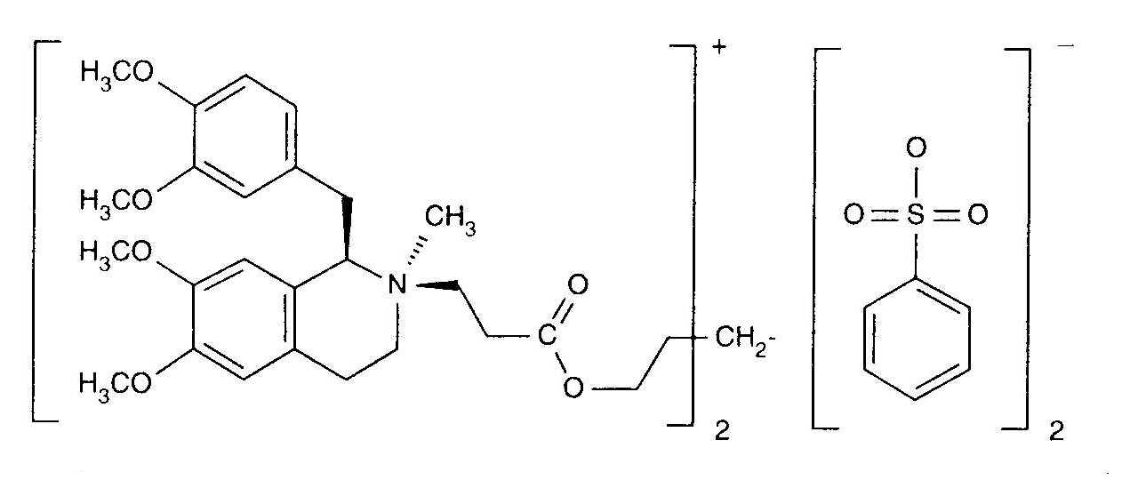
   Molekylstruktur  

Varunamn   Varunamn     

Angivna handelsnamn på läkemedel är enbart vägledande då formulering inklusive hjälpämnen kan variera mellan länder och tillverkare

Bensitrak Mexiko
Besilato de cisatracurio
Cicuryl Mexiko
Cirium Colombia
Cis Atracure
Cisatracurio Brasilien, Chile, Colombia, Ecuador, Italien, Peru, Spanien
Cisatracurium Belgien, Finland, Frankrike, Irland, Kanada, Storbritannien, Tunisien, Tyskland, Ungern
Nimbex Belgien, Chile, Danmark, Ecuador, Egypten, Finland, Förenade Arabemiraten, Förenta Staterna, Frankrike, Grekland, Iran, Irland, Italien, Kanada, Luxemburg, Malaysia, Mexiko, Nederländerna, Norge, Österrike, Peru, Polen, Portugal, Saudi-Arabien, Slovenien, Spanien, Storbritannien, Sverige, Tunisien, Turkiet, Tyskland, Ungern, Venezuela
Nimbium Brasilien, Colombia

Faktorer som påverkar stabiliteten   injektion   Faktorer som påverkar stabiliteten : Cisatracurium besylate        
Hänvisningar
Lösningsmedel Ringer-laktatlösning Orsakar Nedbrytning 3601
Lösningsmedel NaHCO3 Orsakar Nedbrytning 299
3466
3823
pH pH >7 Orsakar Nedbrytning 3601

  Mentions Légales