Laatste update :
27/01/2026
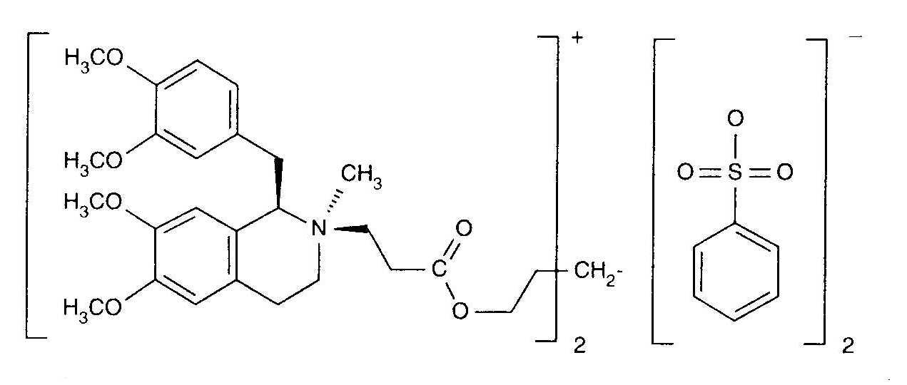
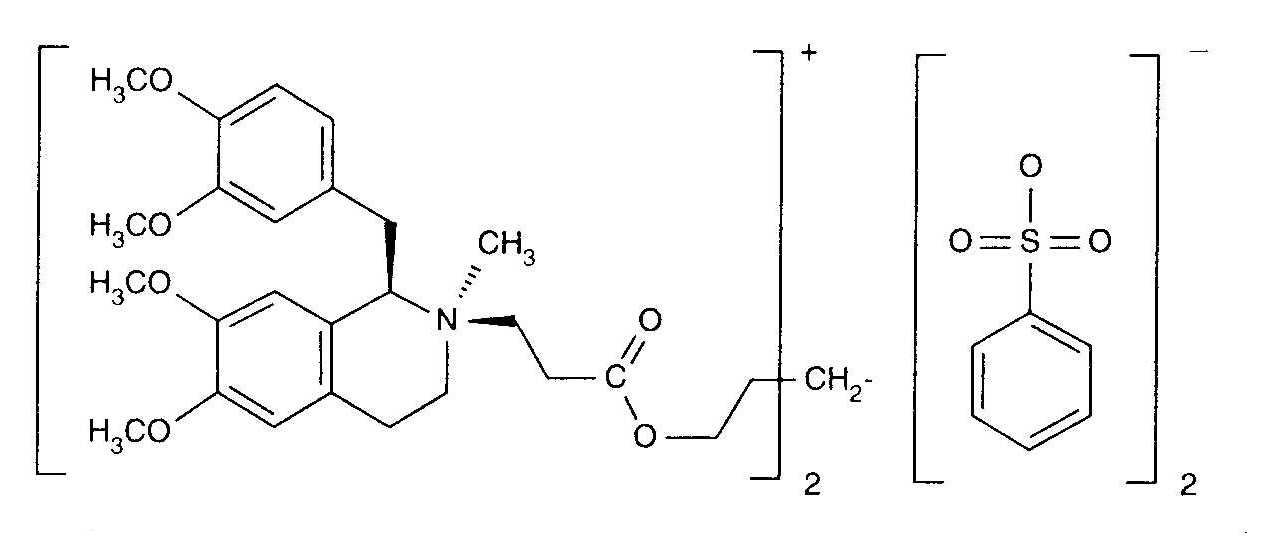
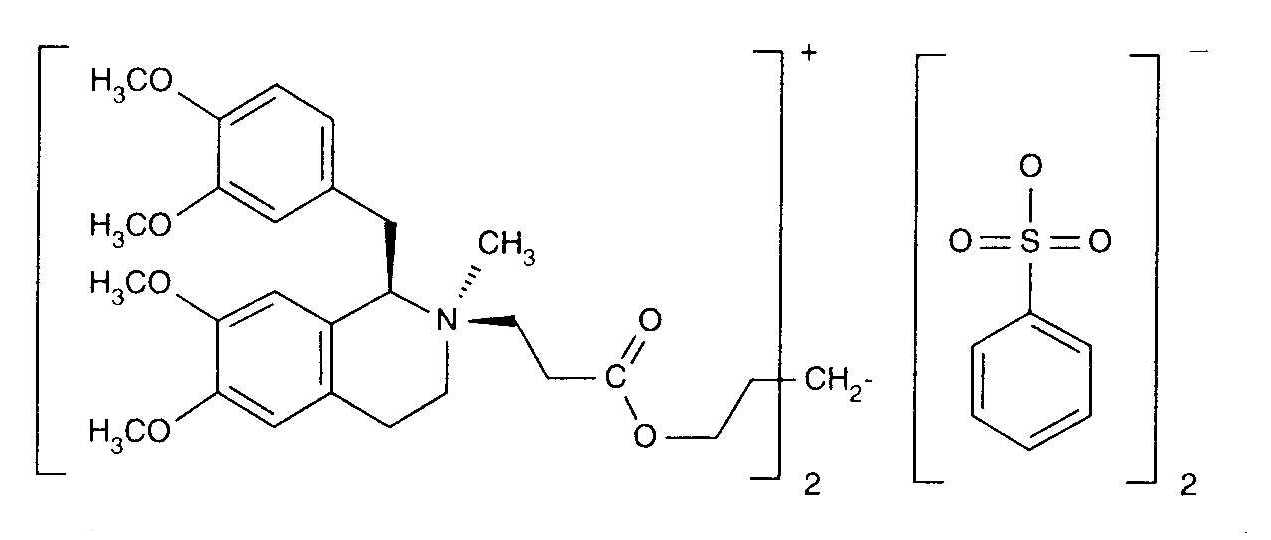
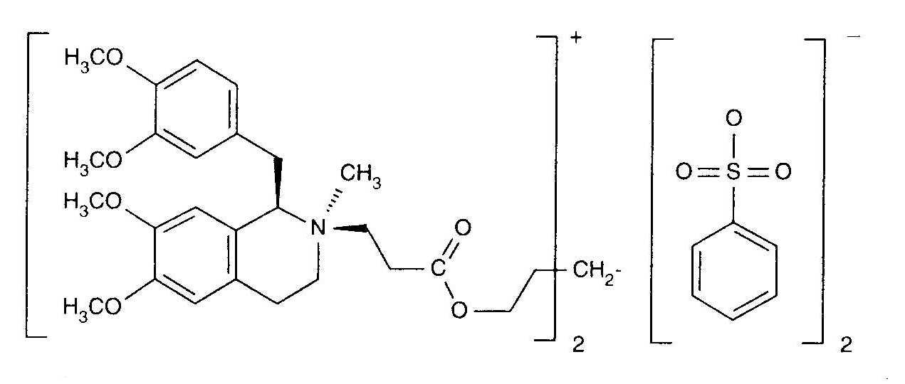
Curarimimeticum   Cisatracurium besylate  
injecteerbaar geneesmiddel
Stabiliteit in oplossing Stabiliteit in mengsels Factoren die de stabiliteit beïnvloeden Verenigbaarheden Toedieningswijze Literatuur pdf
   Molecuulstructuur  

Merknamen in verschillende landen   Merknamen in verschillende landen     

Handelsnamen zijn slechts een indicatie; de samenstelling van hulpstoffen kan per land variëren afhankelijk van de fabrikant

Bensitrak Mexico
Besilato de cisatracurio
Cicuryl Mexico
Cirium Colombia
Cis Atracure
Cisatracurio Brazilië, Chili, Colombia, Ecuador, Italië, Peru, Spanje
Cisatracurium België, Canada, Duitsland, Finland, Frankrijk, Groot Britannië, Hongarije, Ierland, Tunisie
Nimbex België, Canada, Chili, Denemarken, Duitsland, Ecuador, Egypte, Finland, Frankrijk, Griekenland, Groot Britannië, Hongarije, Ierland, Iran, Italië, Luxemburg, Maleisië, Mexico, Nederland, Noorwegen, Oostenrijk, Peru, Polen, Portugal, Saudi-Arabië, Slovenië, Spanje, Tunisie, Turkije, USA, Venezuela, Verenigde Arabische Emiraten, Zweden
Nimbium Brazilië, Colombia

Factoren die de stabiliteit beïnvloeden   injecteerbaar geneesmiddel   Factoren die de stabiliteit beïnvloeden : Cisatracurium besylate        
Literatuur
Oplosmiddel Ringer-lactaat Veroorzaakt Ontleding 3601
Oplosmiddel NaHCO3 Veroorzaakt Ontleding 299
3466
3823
pH pH >7 Veroorzaakt Ontleding 3601

  Mentions Légales