最新更新 :
27/01/2026
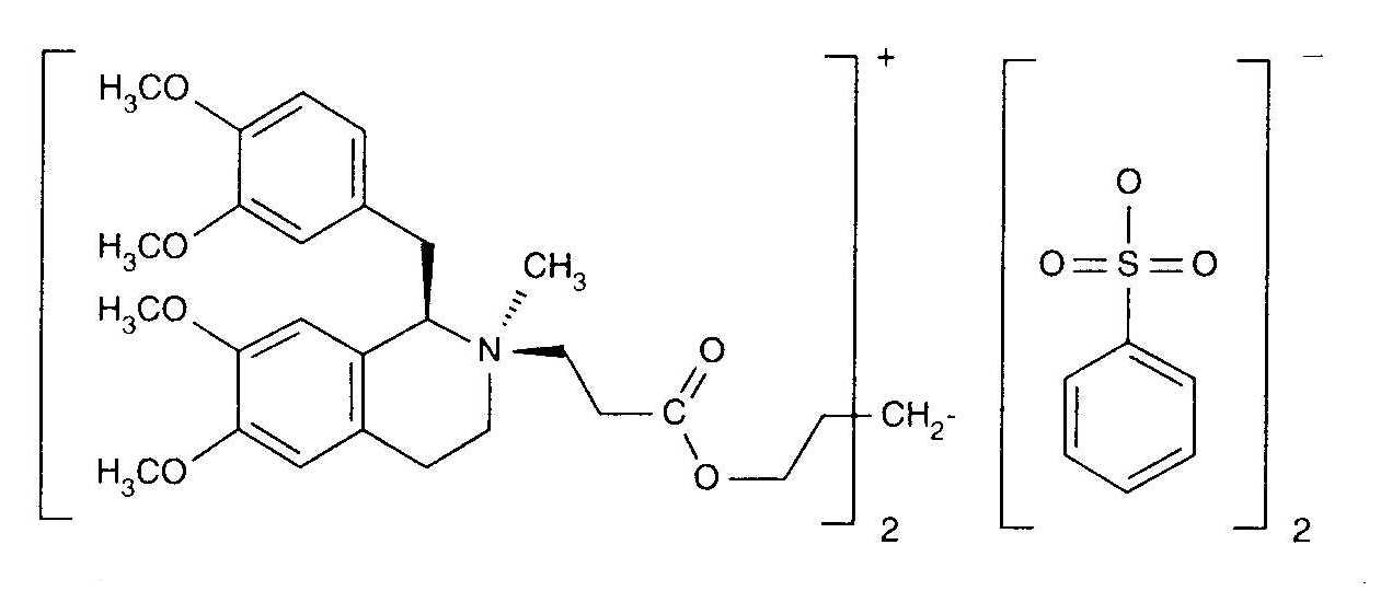
仿箭毒药   Cisatracurium besylate  
注射液
溶液稳定性 混合物稳定性 影响稳定性的因素 兼容性 用药途径 引用文献 PDF
   化学式  

商品名   商品名     

商品名仅供参考, 药品所用的辅料可能依国家或厂商不同有所不同。

Bensitrak 墨西哥
Besilato de cisatracurio
Cicuryl 墨西哥
Cirium 哥伦比亚
Cis Atracure
Cisatracurio 厄瓜多尔, 哥伦比亚, 巴西, 意大利, 智利, 秘鲁, 西班牙
Cisatracurium 加拿大, 匈牙利, 德国, 比利时, 法国, 爱尔兰, 突尼斯, 芬兰, 英国
Nimbex 丹麦, 伊朗, 加拿大, 匈牙利, 卢森堡, 厄瓜多尔, 土耳其, 埃及, 墨西哥, 奥地利, 委内瑞拉, 希腊, 德国, 意大利, 挪威, 斯洛文尼亚, 智利, 比利时, 沙特阿拉伯, 法国, 波兰, 爱尔兰, 瑞典, 秘鲁, 突尼斯, 美国, 芬兰, 英国, 荷兰, 葡萄牙, 西班牙, 阿联酋, 马来西亚
Nimbium 哥伦比亚, 巴西

影响稳定性的因素   注射液   影响稳定性的因素 : Cisatracurium besylate        
引用文献
溶剂 Ringer乳酸溶液 诱导 分解 3601
溶剂 NaHCO3 诱导 分解 299
3466
3823
PH PH >7 诱导 分解 3601

  Mentions Légales