Siste oppdatering :
27/01/2026
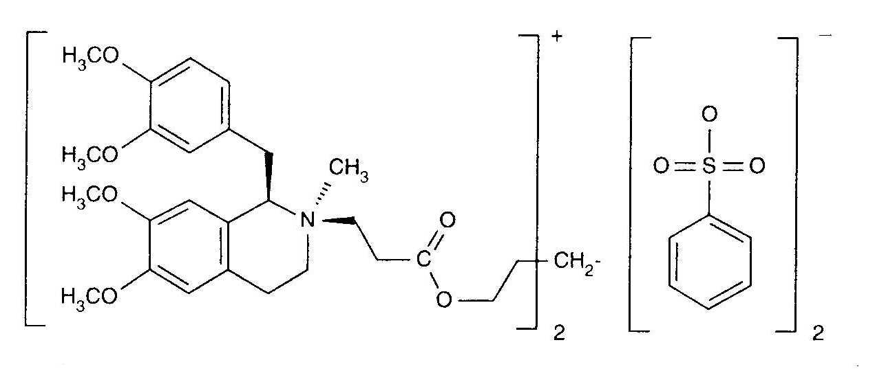
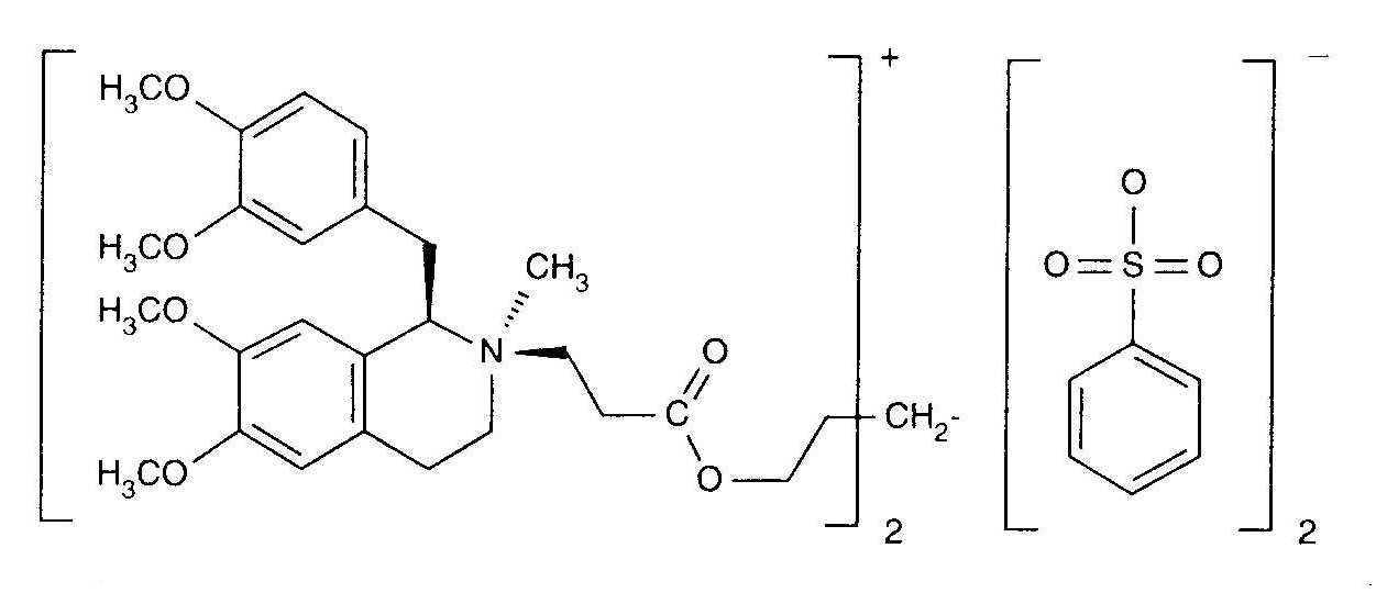
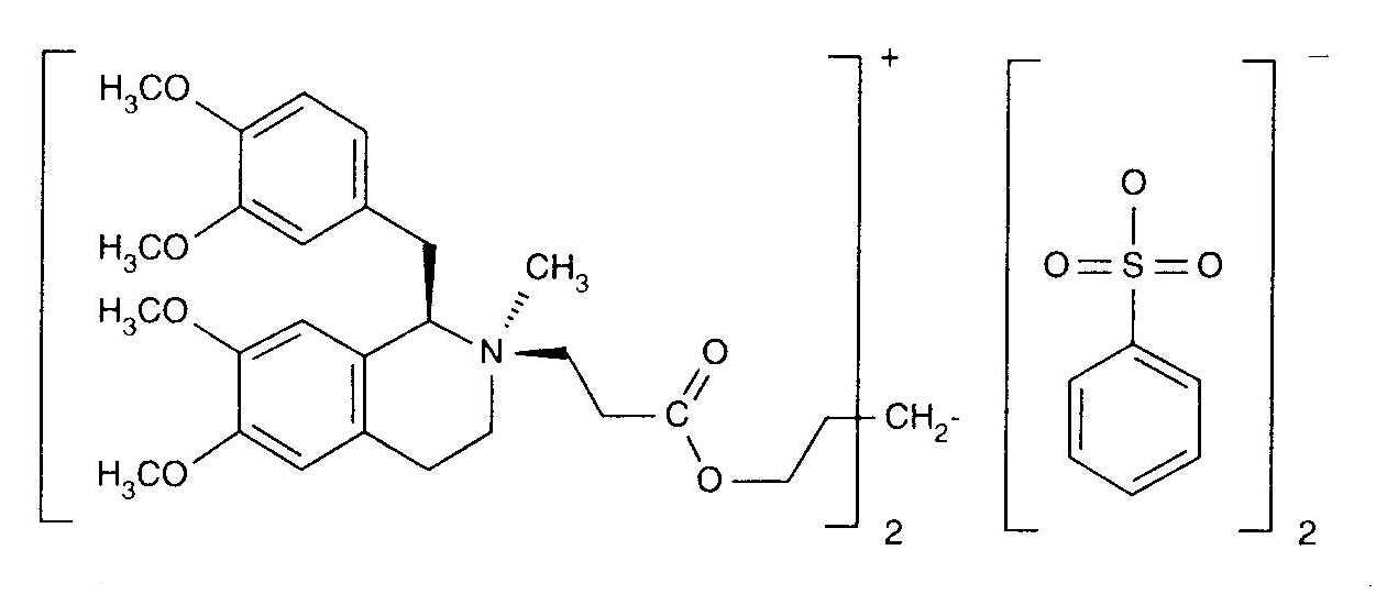
Kurarelignende middel   Cisatracurium besylate  
Injeksjon
Oppløsningsstabilitet Stabilitet i blandinger Faktorer som påvirker stabiliteten Kompatibilitet Administrasjonsmåte Referanser pdf
   Kjemisk struktur  

Handelsnavn   Handelsnavn     

Handelsnavn er veiledende og sammensetning av hjelpestoffer kan være forskjellig avhengig av land og produsent

Bensitrak Mexico
Besilato de cisatracurio
Cicuryl Mexico
Cirium Colombia
Cis Atracure
Cisatracurio Brasil, Chile, Colombia, Ecuador, Italia, Peru, Spania
Cisatracurium Belgia, Canada, Finland, Frankrike, Irland, Storbritannia, Tunisia, Tyskland, Ungarn
Nimbex Belgia, Canada, Chile, Danmark, De forente arabiske emirater, Ecuador, Egypt, Finland, Frankrike, Hellas, Iran, Irland, Italia, Luxembourg, Malaysia, Mexico, Nederland, Norge, Peru, Polen, Portugal, Saudi-Arabia, Slovenia, Spania, Storbritannia, Sverige, Tunisia, Tyrkia, Tyskland, Ungarn, USA, Venezuela, Østerrike
Nimbium Brasil, Colombia

Faktorer som påvirker stabiliteten   Injeksjon   Faktorer som påvirker stabiliteten : Cisatracurium besylate        
Referanser
Oppløsningsmiddel Ringers laktatoppløsning Induserer Degradasjon 3601
Oppløsningsmiddel NaHCO3 Induserer Degradasjon 299
3466
3823
pH pH >7 Induserer Degradasjon 3601

  Mentions Légales