آخر تحديث :
27/01/2026
 أدوية علاجيه   Cisatracurium besylate  
حقن
الاستقرار في حلول استقرار مخاليط العوامل التي تؤثر على الاستقرار التوافق طريقة التعاطي مراجع pdf
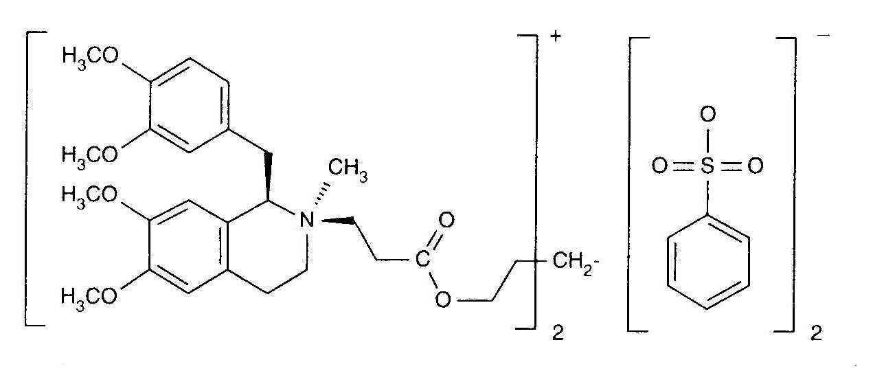
   التركيب الكيميائي  

حجز الاسم التجاري   حجز الاسم التجاري     

تحذير الأسماء التجاريه المختلفه قد تحتوي علي محتوي إضافات مختلفة حسب الدوله و المعمل

Bensitrak المكسيك
Besilato de cisatracurio
Cicuryl المكسيك
Cirium كولومبيا
Cis Atracure
Cisatracurio إسبانيا, إيطاليا, الإكوادور, البرازيل, بيرو, تشيلي, كولومبيا
Cisatracurium ألمانيا, ايرلندا, بريطانيا العظمي, بلجيكا, تونس, فرنسا, فنلندا, كندا, هنغاريا
Nimbex ألمانيا, إسبانيا, إيران, إيطاليا, الإكوادور, الإمارات العربية المتحدة, البرتغال, الدنمارك, السويد, العربية السعودية, المكسيك, النرويج, النمسا, الولايات المتحدة, ايرلندا, بريطانيا العظمي, بلجيكا, بولندا, بيرو, تركيا, تشيلي, تونس, سلوفينيا, فرنسا, فنزويلا, فنلندا, كندا, لوكسمبورغ, ماليزيا, مصر, هنغاريا, هولندا, يونان
Nimbium البرازيل, كولومبيا

العوامل التي تؤثر على الاستقرار   حقن   العوامل التي تؤثر على الاستقرار : Cisatracurium besylate        
مراجع
مذيب محلول رينجر  اللاكتات الحث انحلال 3601
مذيب NaHCO3 الحث انحلال 299
3466
3823
pH pH >7 الحث انحلال 3601

  Mentions Légales