最新更新 :
27/04/2026
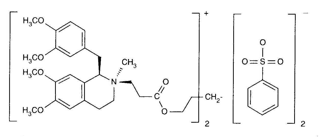
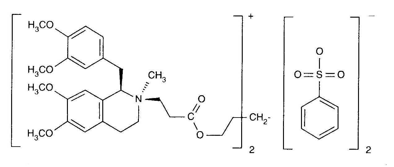
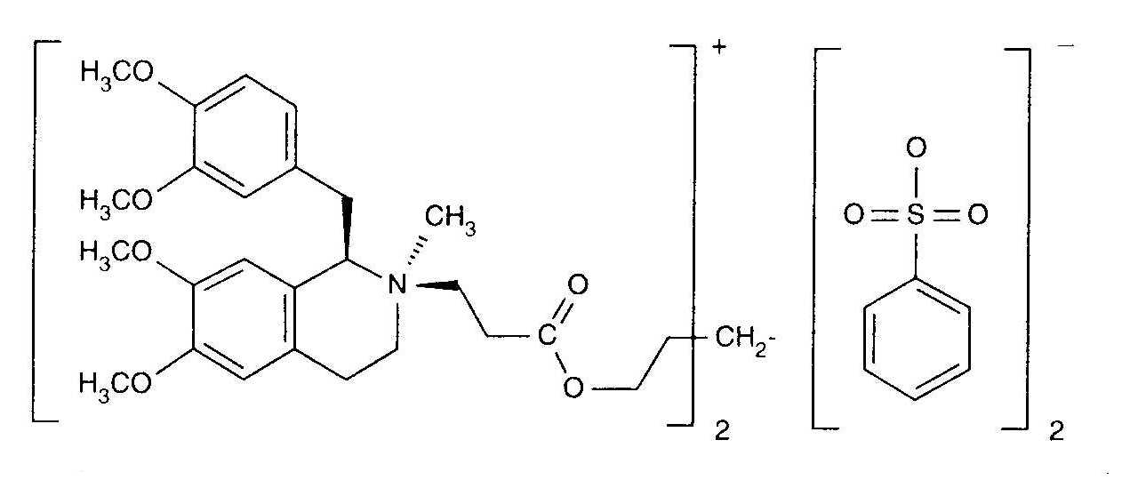
クラーレ様薬   Cisatracurium besylate  
注射薬
溶媒内の安定性 混合時の安定性 安定性に影響する因子 互換性 投与経路 引用文献 PDF
   化学構造  

商品名   商品名     

商品名、賦形剤は国、製薬会社ごとに異なることがあります

Bensitrak メキシコ
Besilato de cisatracurio
Cicuryl メキシコ
Cirium コロンビア
Cis Atracure
Cisatracurio イタリア, エクアドル, コロンビア, スペイン, チリ, ブラジル, ペルー
Cisatracurium アイルランド, イギリス, カナダ, チュニジア, ドイツ, ハンガリー, フィンランド, フランス, ベルギー
Nimbex アイルランド, アメリカ, アラブ首長国連邦, イギリス, イタリア, イラン, エクアドル, エジプト, オランダ, オーストリア, カナダ, ギリシア, サウジアラビア, スウェーデン, スペイン, スロベニア, チュニジア, チリ, デンマーク, トルコ, ドイツ, ノルウェー, ハンガリー, フィンランド, フランス, ベネズエラ, ベルギー, ペルー, ポルトガル, ポーランド, マレーシア, メキシコ, ルクセンブルグ
Nimbium コロンビア, ブラジル

安定性に影響する因子   注射薬   安定性に影響する因子 : Cisatracurium besylate        
引用文献
溶媒 乳酸リンゲル 誘導 分解 3601
溶媒 NaHCO3 誘導 分解 299
3466
3823
pH pH >7 誘導 分解 3601

  Mentions Légales