Última actualización :
27/01/2026
Antibiótico   Tobramycin sulfate  
Inyectables
Aerosol Gotas oculares Solución Oral
Estabilidad en solucion Estabilidad en mezcla Factores que influyen sobre la estabilidad Compatibilidades método de inyección Bibliografía pdf
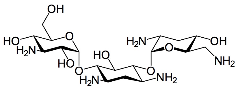
   Estructura química  

Nombre comercial   Nombre comercial     

Los nombres comerciales son orientativos y los excipientes de la formulación pueden ser distintos dependiendo del país y del laboratorio fabricante.

Bactob India
Beltob India
Bramicil Italia
Brulamycin Eslovenia, Hungría, Malasia
Eltol India
Fytobra India
Gernebcin Alemania
Komitob India
Nebcin Arabia Saudita, Egipto, Emiratos Árabes Unidos, Gran Bretaña, Grecia, Nueva Zelanda
Nebcina Dinamarca, Marruecos, Noruega, Suecia
Nebcine Eslovenia, Francia, Marruecos
Nebicina Italia
Obracin Bélgica, Luxemburgo, Países Bajos, Suiza
Tobracin Arabia Saudita, Brasil, Egipto
Tobramicina Argentina, Brasil, Chile, Colombia, Ecuador, España, Italia, Portugal
Tobramina Brasil
Tobramycin Alemania, Arabia Saudita, Australia, Canadá, Estados Unidos de América, Gran Bretaña, Irlanda, Noruega
Tobramycine Francia, Irlanda, Países Bajos
Tobrasix Austria
Tobrazid Alemania

Factores que influyen sobre la estabilidad   Inyectables   Factores que influyen sobre la estabilidad : Tobramycin sulfate        
Ausencia de datos

  Mentions Légales