آخر تحديث :
27/04/2026
مضاد حيوي   Tobramycin sulfate  
حقن
الأيروصولات عن طريق الفم  قطرات العين
الاستقرار في حلول استقرار مخاليط العوامل التي تؤثر على الاستقرار التوافق طريقة التعاطي مراجع pdf
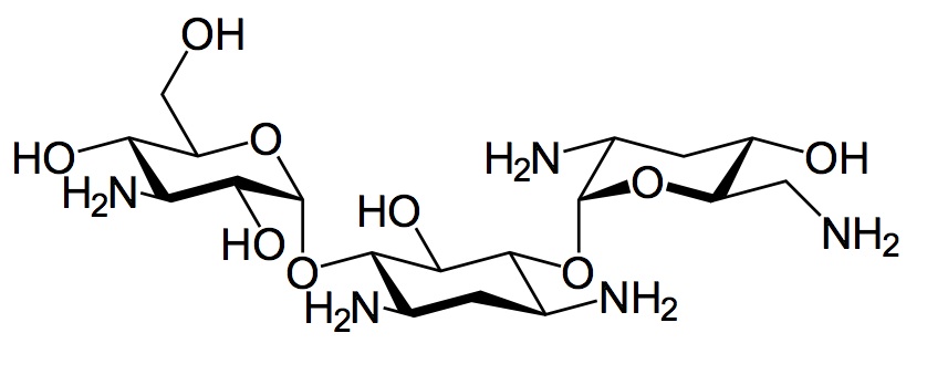
   التركيب الكيميائي  

حجز الاسم التجاري   حجز الاسم التجاري     

تحذير الأسماء التجاريه المختلفه قد تحتوي علي محتوي إضافات مختلفة حسب الدوله و المعمل

Bactob الهند
Beltob الهند
Bramicil إيطاليا
Brulamycin سلوفينيا, ماليزيا, هنغاريا
Eltol الهند
Fytobra الهند
Gernebcin ألمانيا
Komitob الهند
Nebcin الإمارات العربية المتحدة, العربية السعودية, بريطانيا العظمي, زيلاندا الجديدة, مصر, يونان
Nebcina الدنمارك, السويد, المغرب, النرويج
Nebcine المغرب, سلوفينيا, فرنسا
Nebicina إيطاليا
Obracin بلجيكا, سويسرا, لوكسمبورغ, هولندا
Tobracin البرازيل, العربية السعودية, مصر
Tobramicina إسبانيا, إيطاليا, الأرجنتين, الإكوادور, البرازيل, البرتغال, تشيلي, كولومبيا
Tobramina البرازيل
Tobramycin أستراليا, ألمانيا, العربية السعودية, النرويج, الولايات المتحدة, ايرلندا, بريطانيا العظمي, كندا
Tobramycine ايرلندا, فرنسا, هولندا
Tobrasix النمسا
Tobrazid ألمانيا

العوامل التي تؤثر على الاستقرار   حقن   العوامل التي تؤثر على الاستقرار : Tobramycin sulfate        
لا توجد بيانات

  Mentions Légales