Siste oppdatering :
27/04/2026
Antibiotika   Tobramycin sulfate  
Injeksjon
Aerosol Mikstur Øyedråper
Oppløsningsstabilitet Stabilitet i blandinger Faktorer som påvirker stabiliteten Kompatibilitet Administrasjonsmåte Referanser pdf
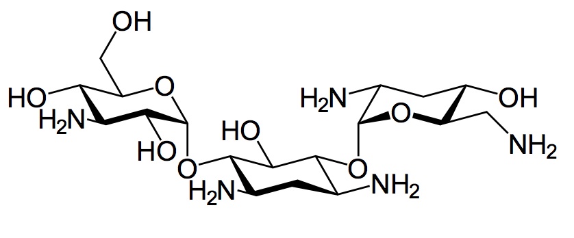
   Kjemisk struktur  

Handelsnavn   Handelsnavn     

Handelsnavn er veiledende og sammensetning av hjelpestoffer kan være forskjellig avhengig av land og produsent

Bactob India
Beltob India
Bramicil Italia
Brulamycin Malaysia, Slovenia, Ungarn
Eltol India
Fytobra India
Gernebcin Tyskland
Komitob India
Nebcin De forente arabiske emirater, Egypt, Hellas, New Zealand, Saudi-Arabia, Storbritannia
Nebcina Danmark, Marokko, Norge, Sverige
Nebcine Frankrike, Marokko, Slovenia
Nebicina Italia
Obracin Belgia, Luxembourg, Nederland, Sveits
Tobracin Brasil, Egypt, Saudi-Arabia
Tobramicina Argentina, Brasil, Chile, Colombia, Ecuador, Italia, Portugal, Spania
Tobramina Brasil
Tobramycin Australia, Canada, Irland, Norge, Saudi-Arabia, Storbritannia, Tyskland, USA
Tobramycine Frankrike, Irland, Nederland
Tobrasix Østerrike
Tobrazid Tyskland

Faktorer som påvirker stabiliteten   Injeksjon   Faktorer som påvirker stabiliteten : Tobramycin sulfate        
Ingen opplysninger

  Mentions Légales