Ultimele actualizari :
27/04/2026
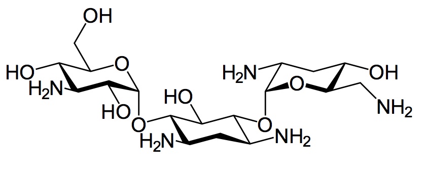
Antibiotic   Tobramycin sulfate  
Injectabil
Aerosol colir Soluţie orală
Stabilitatea in solutie Stabilitatea in amestec Factorii care influenteaza stabilitatea Compatibilitate Microunde Bibliografie pdf
   Formula chimica  

Denumirea comerciala   Denumirea comerciala     

Trade names are indicative and excipients composition can be different depending on the country and manufacturers

Bactob India
Beltob India
Bramicil Italia
Brulamycin Malaezia, Slovenia, Ungaria
Eltol India
Fytobra India
Gernebcin Germania
Komitob India
Nebcin Arabia Saudita, Egipt, Emiratele Arabe Unite, Grecia, Marea Britanie, noua Zeelandă
Nebcina Danemarca, Maroc, Norvegia, Suedia
Nebcine Franta, Maroc, Slovenia
Nebicina Italia
Obracin Belgia, Elvetia, Luxemburg, Olanda
Tobracin Arabia Saudita, Brazilia, Egipt
Tobramicina Argentina, Brazilia, Chilli, Columbia, Ecuador, Italia, Portugalia, Spania
Tobramina Brazilia
Tobramycin Arabia Saudita, Australia, Canada, Germania, Irlanda, Marea Britanie, Norvegia, SUA
Tobramycine Franta, Irlanda, Olanda
Tobrasix Austria
Tobrazid Germania

Factorii care influenteaza stabilitatea   Injectabil   Factorii care influenteaza stabilitatea : Tobramycin sulfate        
Absenta de date

  Mentions Légales