Poslední aktualizace :
27/04/2026
Antibiotikas   Tobramycin sulfate  
Įpurškimas
Aerozolis Akių lašai Geriamas tirpalas
Tirpalų stabilumas Mišinių stabilumas Stabilumą lemiantys veiksniai Suderinamumas Leidimo būdai Bibliografija pdf
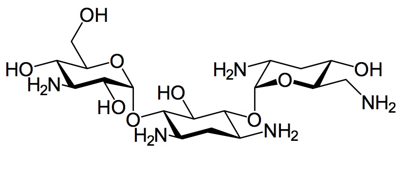
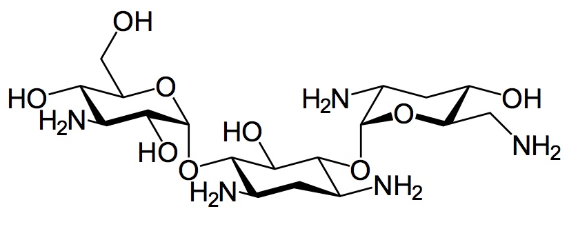
   Cheminė sandara  

Prekinis pavadinimas   Prekinis pavadinimas     

Trade names are indicative and excipients composition can be different depending on the country and manufacturers

Bactob Indija
Beltob Indija
Bramicil Italija
Brulamycin Malaizija, Slovėnija, Vengrija
Eltol Indija
Fytobra Indija
Gernebcin Vokietija
Komitob Indija
Nebcin Didžioji Britanija, Egiptas, Graikija, Jungtiniai Arabų Emyratai, Naujojoje Zelandijoje, Saudo Arabija
Nebcina Danija, Marokas, Norvegija, Švedija
Nebcine Marokas, Prancūzija, Slovėnija
Nebicina Italija
Obracin Belgija, Liuksemburgas, Olandija, Šveicarija
Tobracin Brazilija, Egiptas, Saudo Arabija
Tobramicina Argentina, Brazilija, Čilė, Ekvadoras, Ispanija, Italija, Kolumbija, Portugalija
Tobramina Brazilija
Tobramycin Airija, Australija, Didžioji Britanija, Jungtinės Amerikos Valstijos, Kanada, Norvegija, Saudo Arabija, Vokietija
Tobramycine Airija, Olandija, Prancūzija
Tobrasix Austrija
Tobrazid Vokietija

Stabilumą lemiantys veiksniai   Įpurškimas   Stabilumą lemiantys veiksniai : Tobramycin sulfate        
Nėra duomenų

  Mentions Légales