Ostatnia aktualizacja :
27/04/2026
Antybiotyk   Tobramycin sulfate  
Injekcje
Aerozol Krople oczne Roztwór doustny
Trwałość roztworów Trwałość w mieszaninie Czynnik wpływający na trwałość Zgodność Sposób podania Bibliografia pdf
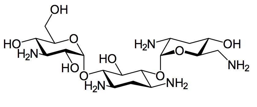
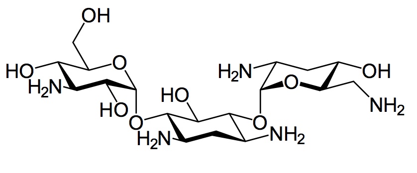
   Struktura chemiczna  

Nazwa handlowa   Nazwa handlowa     

Trade names are indicative and excipients composition can be different depending on the country and manufacturers

Bactob Indie
Beltob Indie
Bramicil Włochy
Brulamycin Malezja, Słowenia, Węgry
Eltol Indie
Fytobra Indie
Gernebcin Niemcy
Komitob Indie
Nebcin Arabia Saudyjska, Egipt, Grecja, nowa Zelandia, Wielka Brytania, Zjednoczone Emiraty Arabskie
Nebcina Dania, Maroko, Norwegia, Szwecja
Nebcine Francja , Maroko, Słowenia
Nebicina Włochy
Obracin Belgia, Holandia, Luksemburg, Szwajcaria
Tobracin Arabia Saudyjska, Brazylia, Egipt
Tobramicina Argentyna, Brazylia, Chile, Ekwador, Hiszpania, KolumbiaKolumbia, Portugalia, Włochy
Tobramina Brazylia
Tobramycin Arabia Saudyjska, Australia, Irlandia, Kanada, Niemcy, Norwegia, Stany Zjednoczone Ameryki, Wielka Brytania
Tobramycine Francja , Holandia, Irlandia
Tobrasix Austria
Tobrazid Niemcy

Czynnik wpływający na trwałość   Injekcje   Czynnik wpływający na trwałość : Tobramycin sulfate        
Brak danych

  Mentions Légales