Cập nhật lần cuối :
27/01/2026
Kháng sinh   Netilmicin sulfate  
Dạng tiêm
Khí dung
Tính ổn định của các dung dịch Độ ổn định khi trộn lẫn Những yếu tố ảnh hưởng đến độ ổn định Khả năng tương thích Đường dùng Tài liệu tham khảo Pdf
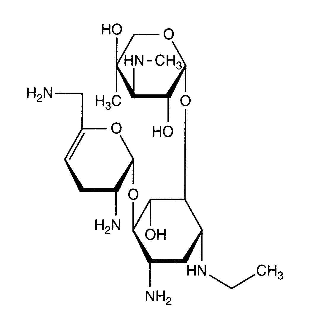
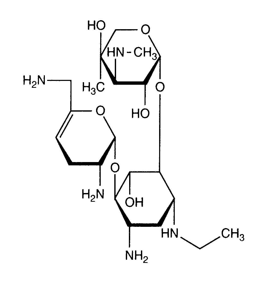
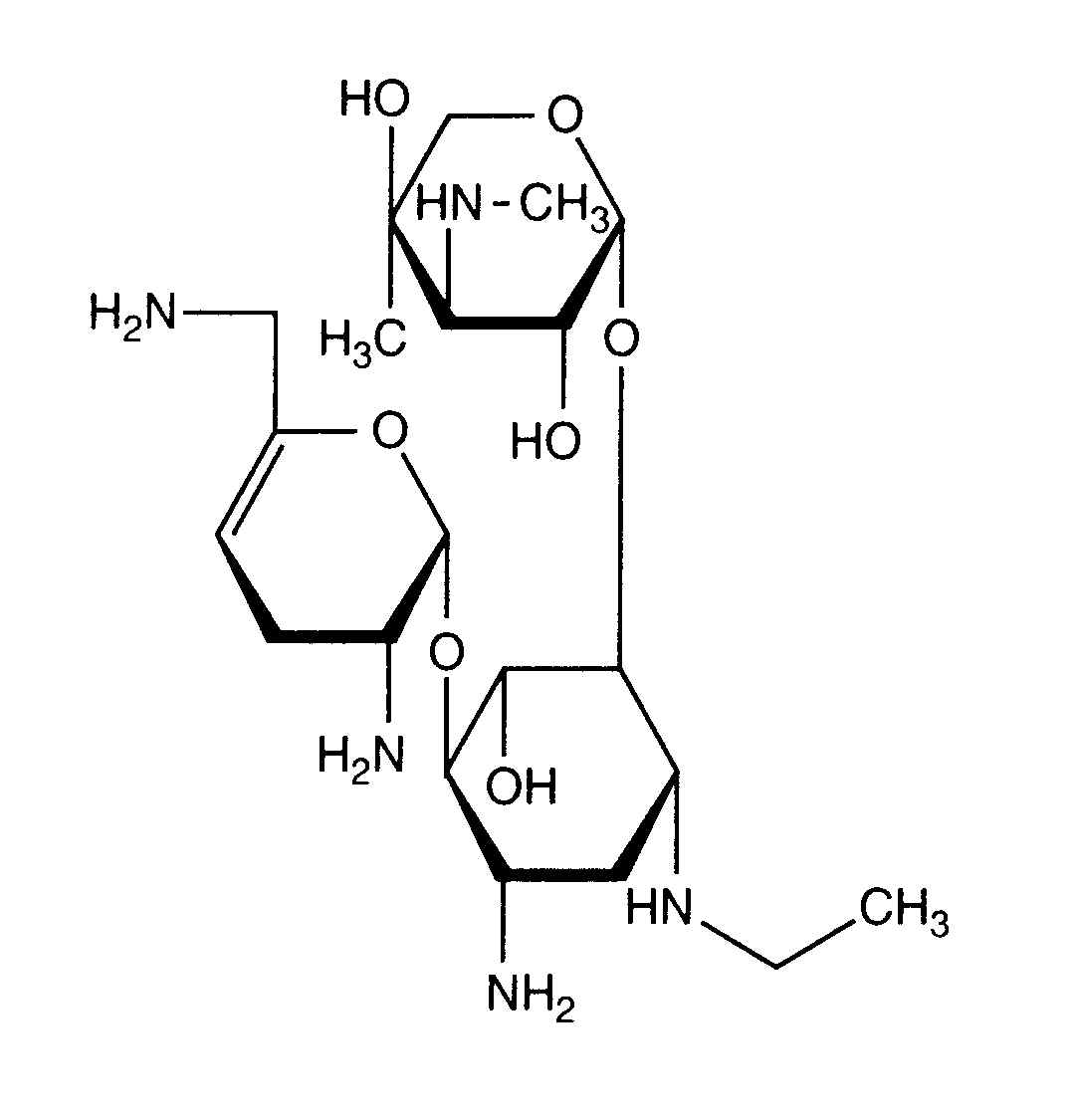
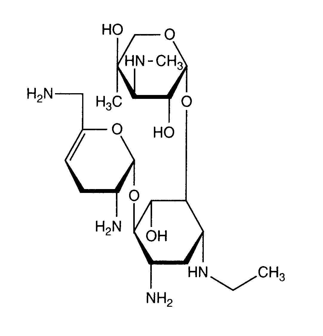
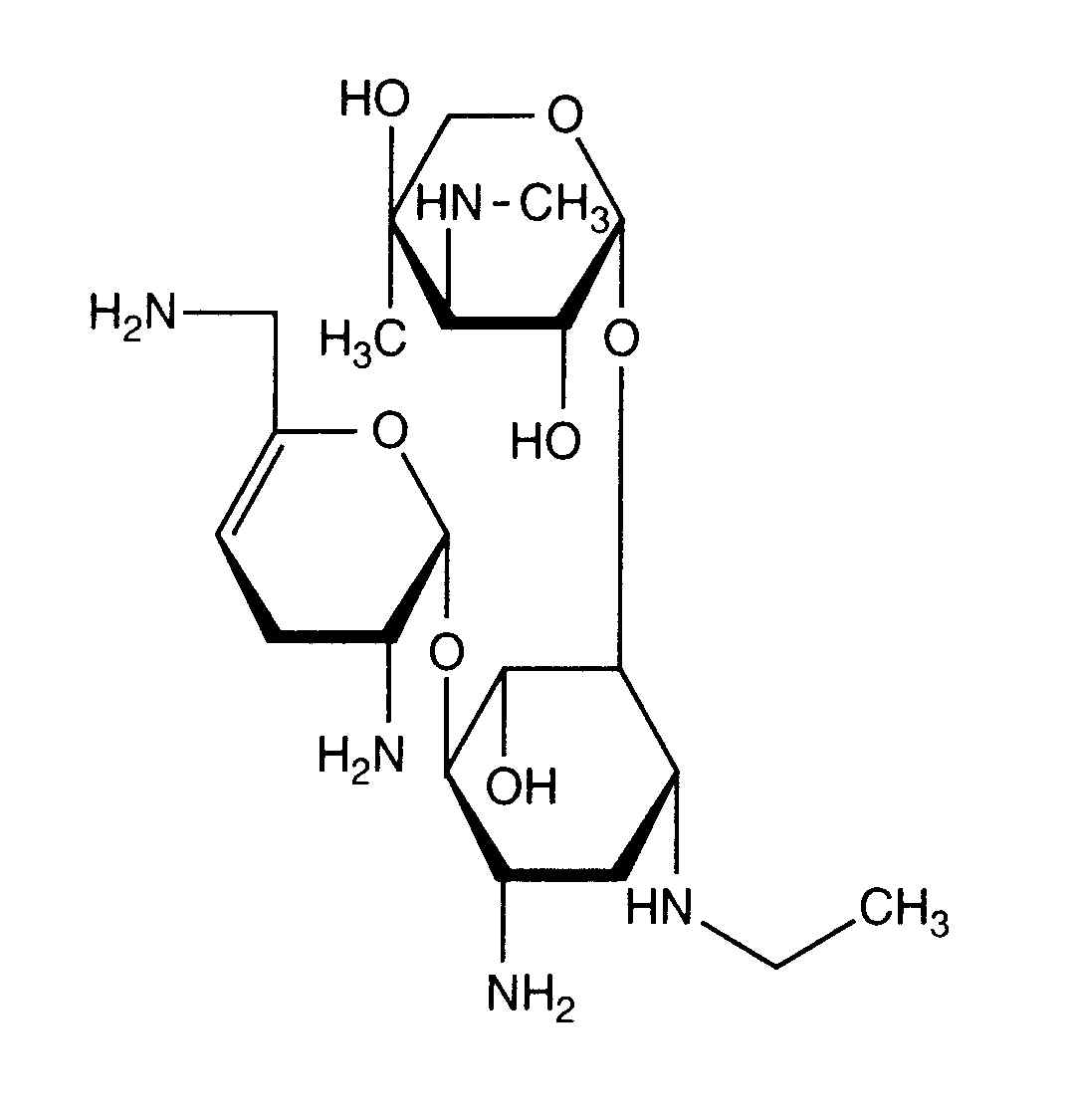
   Cấu trúc hóa học  

Tên thương mại   Tên thương mại     

Các tên thương mại được cung cấp và thành phần tá dược có thể khác nhau giữa các quốc gia và các hãng dược

Bactob Ấn Độ
Beltob Ấn Độ
Bramicil Ý
Brulamycin Hungary
Eltol Ấn Độ
Fytobra Ấn Độ
Gernebcin Đức
Komitub Ấn Độ
Nebcin Ả Rập, Ả Rập Saudi, Anh, Hy Lạp, new zealand, Úc, United Arab Emirates
Nebcina Morocco, Na Uy, Thụy Điển, Đan Mạch
Nebcine Morocco
Nebicina Ý
Netilyn Phần Lan, Thụy Điển
Netromicina Bồ Đào Nha
Netromicine Pháp
Netromycine Ba Lan, Hy Lạp, Nga, Thổ Nhĩ Kỳ
Nettacin Ý
Obracin Bỉ, Hà Lan, Luxembourg, Thụy Sỹ
Tobra Đức
Tobra Alex Ả Rập
Tobra Day new zealand
Tobra Gobens Tây Ban Nha
Tobracin Ả Rập
Tobradistin Tây Ban Nha
Tobramicina Bồ Đào Nha, Tây Ban Nha, Venezuela, Ý
Tobramina Brazil
Tobramycin Ả Rập Saudi, Anh, Canada, Hoa Kỳ, Ireland, Na Uy, Úc, Đức
Tobramycine Hà Lan, Ireland, Pháp
Tobrasix Áo
Tobrazid Đức
Tomycin Phần Lan
Zetamicin Ý
Tính ổn định của các dung dịch   Dạng tiêm   Tính ổn định của các dung dịch : Netilmicin sulfate     
Bao bì Dung môi Nồng độ Nhiệt độ Bảo quản Thời gian ổn định Mục lục
Thủy tinh Nước cất pha tiêm 3 mg/ml 25°C Không rõ
7 Ngày
1200
Phương pháp sinh học

Thủy tinh Nước cất pha tiêm 3 mg/ml 4°C Tránh ánh sáng
7 Ngày
1200
Phương pháp sinh học

Thủy tinh NaCl 0,9% 3 mg/ml 24°C Ánh sáng
24 Giờ
421
JOKER

Thủy tinh NaCl 0,9% 3 mg/ml 25°C Không rõ
7 Ngày
1200
Phương pháp sinh học

Thủy tinh NaCl 0,9% 3 mg/ml 4°C Tránh ánh sáng
7 Ngày
1200
Phương pháp sinh học

Thủy tinh Glucose 5% 3 mg/ml 24°C Ánh sáng
24 Giờ
421
JOKER

Thủy tinh Glucose 5% 3 mg/ml 25°C Không rõ
7 Ngày
1200
Phương pháp sinh học

Thủy tinh Glucose 5% 3 mg/ml 4°C Tránh ánh sáng
7 Ngày
1200
Phương pháp sinh học

Thủy tinh Dung dịch Ringer’s lactate 3 mg/ml 25°C Không rõ
7 Ngày
1200
Phương pháp sinh học

Thủy tinh Dung dịch Ringer’s lactate 3 mg/ml 4°C Tránh ánh sáng
7 Ngày
1200
Phương pháp sinh học

Thủy tinh NaCl 3% 3 mg/ml 25°C Không rõ
7 Ngày
1200
Phương pháp sinh học

Thủy tinh NaCl 3% 3 mg/ml 4°C Tránh ánh sáng
7 Ngày
1200
Phương pháp sinh học

Thủy tinh Glucose 10% 3 mg/ml 25°C Không rõ
7 Ngày
1200
Phương pháp sinh học

Thủy tinh Glucose 10% 3 mg/ml 4°C Tránh ánh sáng
7 Ngày
1200
Phương pháp sinh học

Nhựa polyvinyl chloride NaCl 0,9% 3 mg/ml 24°C Ánh sáng
24 Giờ
421
JOKER

Nhựa polyvinyl chloride Glucose 5% 3 mg/ml 24°C Ánh sáng
24 Giờ
421
JOKER

ống tiêm polypropylene Không 10 mg/ml 25°C Tránh ánh sáng
9 Ngày
1929
Cấp độ bằng chứng B

ống tiêm polypropylene Không 10 & 100 mg/ml 7°C Tránh ánh sáng
90 Ngày
1929
Cấp độ bằng chứng B

ống tiêm polypropylene Không 100 mg/ml 25°C Tránh ánh sáng
30 Ngày
1929
Cấp độ bằng chứng B


  Mentions Légales