Senaste uppdateringen :
27/04/2026
Antibiotikum   Netilmicin sulfate  
injektion
Aerosol
Lösningars stabilitet Stabilitet i blandningar Faktorer som påverkar stabiliteten Kompatibilitet Administreringssätt Hänvisningar pdf
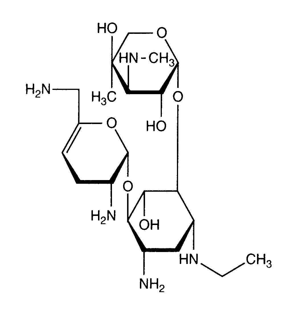
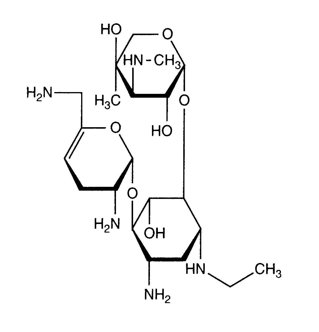
   Molekylstruktur  

Varunamn   Varunamn     

Angivna handelsnamn på läkemedel är enbart vägledande då formulering inklusive hjälpämnen kan variera mellan länder och tillverkare

Bactob Indien
Beltob Indien
Bramicil Italien
Brulamycin Ungern
Eltol Indien
Fytobra Indien
Gernebcin Tyskland
Komitub Indien
Nebcin Australien, Egypten, Förenade Arabemiraten, Grekland, nya Zeeland, Saudi-Arabien, Storbritannien
Nebcina Danmark, Marocko, Norge, Sverige
Nebcine Marocko
Nebicina Italien
Netilyn Finland, Sverige
Netromicina Portugal
Netromicine Frankrike
Netromycine Grekland, Polen, ryska, Turkiet
Nettacin Italien
Obracin Belgien, Luxemburg, Nederländerna, Schweiz
Tobra Tyskland
Tobra Alex Egypten
Tobra Day nya Zeeland
Tobra Gobens Spanien
Tobracin Egypten
Tobradistin Spanien
Tobramicina Italien, Portugal, Spanien, Venezuela
Tobramina Brasilien
Tobramycin Australien, Förenta Staterna, Irland, Kanada, Norge, Saudi-Arabien, Storbritannien, Tyskland
Tobramycine Frankrike, Irland, Nederländerna
Tobrasix Österrike
Tobrazid Tyskland
Tomycin Finland
Zetamicin Italien
Lösningars stabilitet   injektion   Lösningars stabilitet : Netilmicin sulfate     
Behållare Lösningsmedel Koncentration Temperatur Förvaring Stabilitets varaktighet Hänvisningar
Glas Vatten för injektion 3 mg/ml 25°C Ej angiven
7 Dag
1200
Biologisk analys

Glas Vatten för injektion 3 mg/ml 4°C Skyddas från ljus
7 Dag
1200
Biologisk analys

Glas Natriumklorid 0,9 % 3 mg/ml 24°C Ljus
24 Timma
421
Joker

Glas Natriumklorid 0,9 % 3 mg/ml 25°C Ej angiven
7 Dag
1200
Biologisk analys

Glas Natriumklorid 0,9 % 3 mg/ml 4°C Skyddas från ljus
7 Dag
1200
Biologisk analys

Glas Glukos 5 % 3 mg/ml 24°C Ljus
24 Timma
421
Joker

Glas Glukos 5 % 3 mg/ml 25°C Ej angiven
7 Dag
1200
Biologisk analys

Glas Glukos 5 % 3 mg/ml 4°C Skyddas från ljus
7 Dag
1200
Biologisk analys

Glas Ringer-laktatlösning 3 mg/ml 25°C Ej angiven
7 Dag
1200
Biologisk analys

Glas Ringer-laktatlösning 3 mg/ml 4°C Skyddas från ljus
7 Dag
1200
Biologisk analys

Glas Natriumklorid 3 % 3 mg/ml 25°C Ej angiven
7 Dag
1200
Biologisk analys

Glas Natriumklorid 3 % 3 mg/ml 4°C Skyddas från ljus
7 Dag
1200
Biologisk analys

Glas Glukos 10 % 3 mg/ml 25°C Ej angiven
7 Dag
1200
Biologisk analys

Glas Glukos 10 % 3 mg/ml 4°C Skyddas från ljus
7 Dag
1200
Biologisk analys

Polyvinylklorid Natriumklorid 0,9 % 3 mg/ml 24°C Ljus
24 Timma
421
Joker

Polyvinylklorid Glukos 5 % 3 mg/ml 24°C Ljus
24 Timma
421
Joker

Spruta polypropen Ingen 10 mg/ml 25°C Skyddas från ljus
9 Dag
1929
Evidensnivå B

Spruta polypropen Ingen 10 & 100 mg/ml 7°C Skyddas från ljus
90 Dag
1929
Evidensnivå B

Spruta polypropen Ingen 100 mg/ml 25°C Skyddas från ljus
30 Dag
1929
Evidensnivå B


  Mentions Légales