Utolsó frissítés :
27/01/2026
Antibiotikum   Netilmicin sulfate  
Injekció
aeroszol
Az oldatok stabilitása A keverékek stabilitása Stabilitást befolyásoló tényezők Kompatibilitás Az alkalmazás módja Irodalom pdf
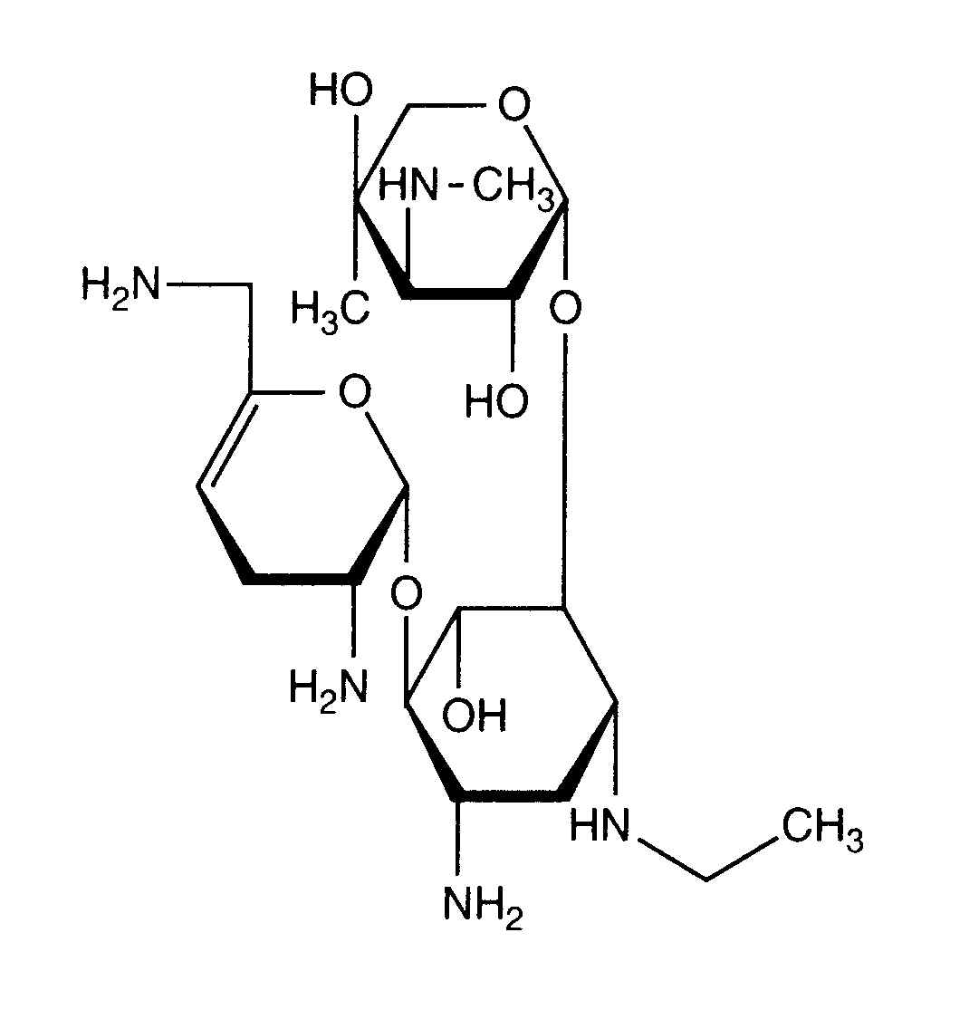
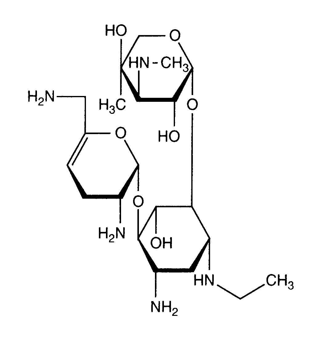
   Kémiai szerkezet   

Kereskedelmi név   Kereskedelmi név     

A kereskedelmi név meghatározó jelentőségű: a készítmények összetétele országonként, előállítóként eltérő lehet

Bactob India
Beltob India
Bramicil Olaszország
Brulamycin Magyarország
Eltol India
Fytobra India
Gernebcin Németország
Komitub India
Nebcin Ausztrália, Egyesült Arab Emírségek, Egyiptom, Görögország, Nagy-Britannia, Szaúd-Arábiában, új-Zéland
Nebcina Dánia, Marokkó, Norvégia, Svédország
Nebcine Marokkó
Nebicina Olaszország
Netilyn Finnország, Svédország
Netromicina Portugália
Netromicine Franciaország
Netromycine Görögország, Lengyelország, orosz, Törökország
Nettacin Olaszország
Obracin Belgium, Hollandia, Luxemburg, Svájc
Tobra Németország
Tobra Alex Egyiptom
Tobra Day új-Zéland
Tobra Gobens Spanyolország
Tobracin Egyiptom
Tobradistin Spanyolország
Tobramicina Olaszország, Portugália, Spanyolország, Venezuela
Tobramina Brazília
Tobramycin Amerikai Egyesült Államok, Ausztrália, Írország, Kanada, Nagy-Britannia, Németország, Norvégia, Szaúd-Arábiában
Tobramycine Franciaország, Hollandia, Írország
Tobrasix Ausztria
Tobrazid Németország
Tomycin Finnország
Zetamicin Olaszország
Az oldatok stabilitása   Injekció   Az oldatok stabilitása : Netilmicin sulfate     
Csomagolás Oldószer Koncentráció Hőmérséklet Tárolás A stabilitás időtartama Irodalom
Üveg Injekcióhoz való víz 3 mg/ml 25°C Nincs meghatározva
7 Nap
1200
Biológiai elemzés

Üveg Injekcióhoz való víz 3 mg/ml 4°C Fénytől védve tartandó
7 Nap
1200
Biológiai elemzés

Üveg 0,9% nátrium-klorid 3 mg/ml 24°C Fény
24 Óra
421
tréfacsináló

Üveg 0,9% nátrium-klorid 3 mg/ml 25°C Nincs meghatározva
7 Nap
1200
Biológiai elemzés

Üveg 0,9% nátrium-klorid 3 mg/ml 4°C Fénytől védve tartandó
7 Nap
1200
Biológiai elemzés

Üveg 5% glükóz 3 mg/ml 24°C Fény
24 Óra
421
tréfacsináló

Üveg 5% glükóz 3 mg/ml 25°C Nincs meghatározva
7 Nap
1200
Biológiai elemzés

Üveg 5% glükóz 3 mg/ml 4°C Fénytől védve tartandó
7 Nap
1200
Biológiai elemzés

Üveg Ringer-laktát oldat 3 mg/ml 25°C Nincs meghatározva
7 Nap
1200
Biológiai elemzés

Üveg Ringer-laktát oldat 3 mg/ml 4°C Fénytől védve tartandó
7 Nap
1200
Biológiai elemzés

Üveg 3% nátrium-klorid 3 mg/ml 25°C Nincs meghatározva
7 Nap
1200
Biológiai elemzés

Üveg 3% nátrium-klorid 3 mg/ml 4°C Fénytől védve tartandó
7 Nap
1200
Biológiai elemzés

Üveg 10% glükóz 3 mg/ml 25°C Nincs meghatározva
7 Nap
1200
Biológiai elemzés

Üveg 10% glükóz 3 mg/ml 4°C Fénytől védve tartandó
7 Nap
1200
Biológiai elemzés

Poli(vinilklorid) 0,9% nátrium-klorid 3 mg/ml 24°C Fény
24 Óra
421
tréfacsináló

Poli(vinilklorid) 5% glükóz 3 mg/ml 24°C Fény
24 Óra
421
tréfacsináló

fecskendő polipropilén Egy sem 10 mg/ml 25°C Fénytől védve tartandó
9 Nap
1929
Szintű bizonyítékot B

fecskendő polipropilén Egy sem 10 & 100 mg/ml 7°C Fénytől védve tartandó
90 Nap
1929
Szintű bizonyítékot B

fecskendő polipropilén Egy sem 100 mg/ml 25°C Fénytől védve tartandó
30 Nap
1929
Szintű bizonyítékot B


  Mentions Légales