Posledná aktualizácia :
27/01/2026
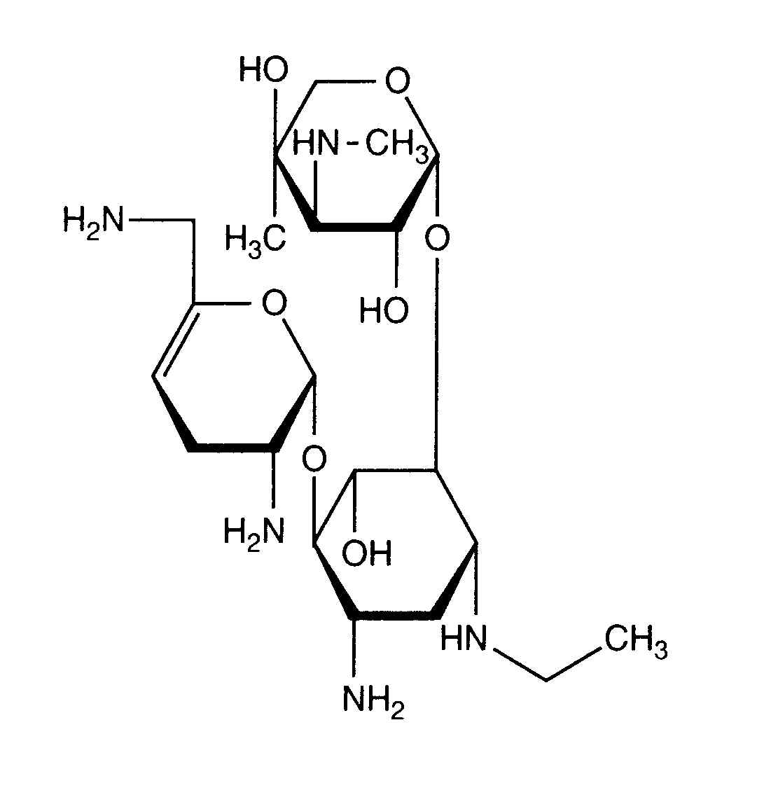
antibiotikum   Netilmicin sulfate  
Injekcia
Aerosól
Stabilita roztokov Stabilita v zmesiach Faktory ovplyvňujúce stabilitu Kompatibility spôsob podania Odkazy na literatúru PDF
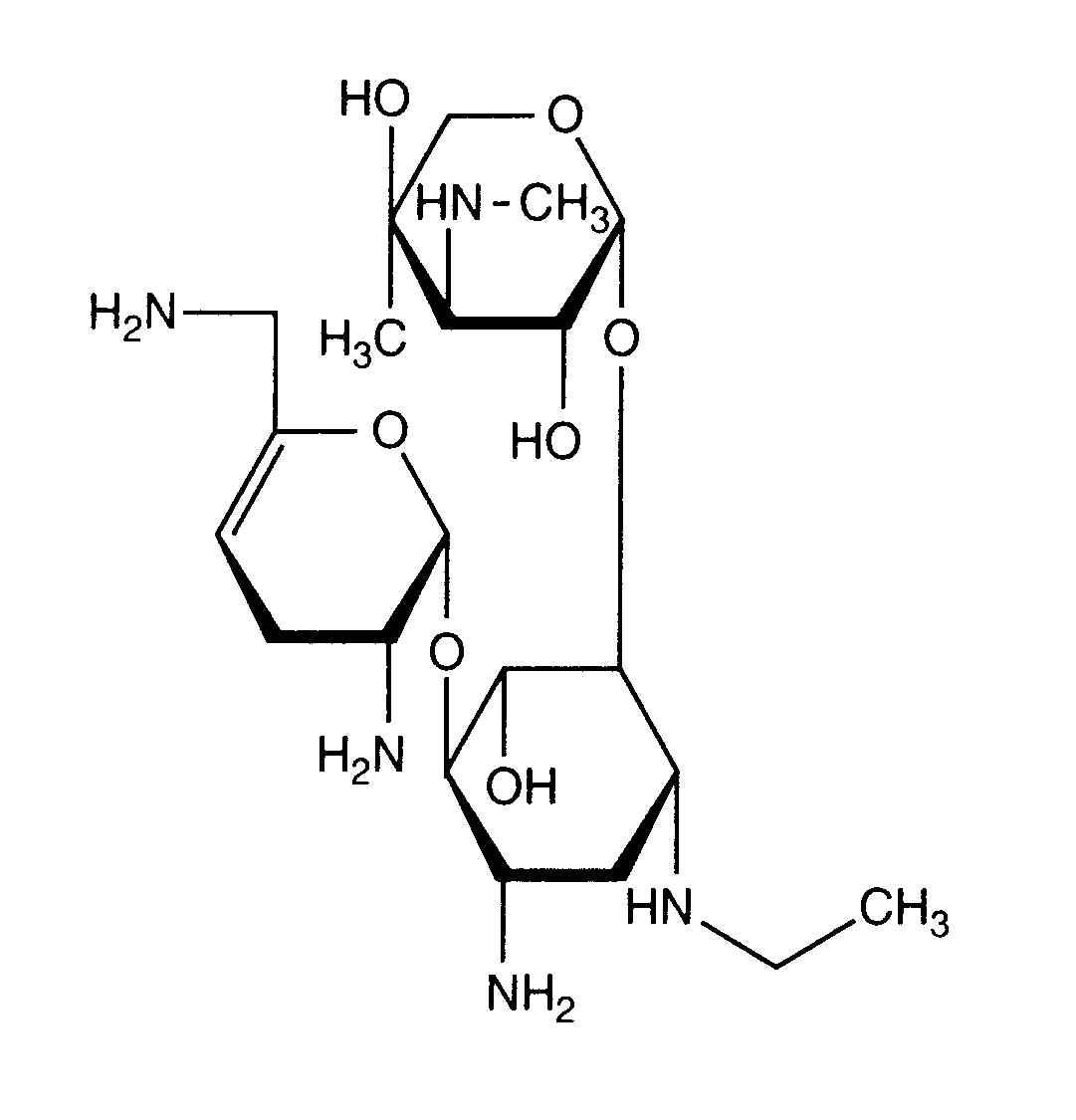
   Chemický vzorec  

Obchodný názov   Obchodný názov     

Obchodné názvy sú orientačné, a zloženie pomocných látok sa môže líšiť v závislosti od krajiny a výrobcu.

Bactob India
Beltob India
Bramicil Taliansko
Brulamycin Maďarsko
Eltol India
Fytobra India
Gernebcin Nemecko
Komitub India
Nebcin Austrália, Egypt, Grécko, nový Zéland, Saudská Arábia, Spojené arabské emiráty, Veľká Británia
Nebcina Dánsko, Maroko, Nórsko, Švédsko
Nebcine Maroko
Nebicina Taliansko
Netilyn Fínsko, Švédsko
Netromicina Portugalsko
Netromicine Francúzsko
Netromycine Grécko, Poľsko, ruský, Turecko
Nettacin Taliansko
Obracin Belgicko, Holandsko, Luxembursko, Švajčiarsko
Tobra Nemecko
Tobra Alex Egypt
Tobra Day nový Zéland
Tobra Gobens Španielsko
Tobracin Egypt
Tobradistin Španielsko
Tobramicina Portugalsko, Španielsko, Taliansko, Venezuela
Tobramina Brazília
Tobramycin Austrália, Írsko, Kanada, Nemecko, Nórsko, Saudská Arábia, Spojené štáty Americké, Veľká Británia
Tobramycine Francúzsko, Holandsko, Írsko
Tobrasix Rakúsko
Tobrazid Nemecko
Tomycin Fínsko
Zetamicin Taliansko
Stabilita roztokov   Injekcia   Stabilita roztokov : Netilmicin sulfate     
obal rozpúšťadlo koncentrácia teplota uchovávanie Trvanie stability odkazy na lieteratúru
Sklo voda na injekciu 3 mg/ml 25°C nešpecifikované
7 dní
1200
biologická analýza

Sklo voda na injekciu 3 mg/ml 4°C Chránené pred svetlom
7 dní
1200
biologická analýza

Sklo 0,9% chlorid sodný 3 mg/ml 24°C Za svetla
24 hodín
421
Žolík (rôzne)

Sklo 0,9% chlorid sodný 3 mg/ml 25°C nešpecifikované
7 dní
1200
biologická analýza

Sklo 0,9% chlorid sodný 3 mg/ml 4°C Chránené pred svetlom
7 dní
1200
biologická analýza

Sklo 5% glukóza 3 mg/ml 24°C Za svetla
24 hodín
421
Žolík (rôzne)

Sklo 5% glukóza 3 mg/ml 25°C nešpecifikované
7 dní
1200
biologická analýza

Sklo 5% glukóza 3 mg/ml 4°C Chránené pred svetlom
7 dní
1200
biologická analýza

Sklo Ringerov laktátový roztok 3 mg/ml 25°C nešpecifikované
7 dní
1200
biologická analýza

Sklo Ringerov laktátový roztok 3 mg/ml 4°C Chránené pred svetlom
7 dní
1200
biologická analýza

Sklo 3% chlorid sodný 3 mg/ml 25°C nešpecifikované
7 dní
1200
biologická analýza

Sklo 3% chlorid sodný 3 mg/ml 4°C Chránené pred svetlom
7 dní
1200
biologická analýza

Sklo 10% glukóza 3 mg/ml 25°C nešpecifikované
7 dní
1200
biologická analýza

Sklo 10% glukóza 3 mg/ml 4°C Chránené pred svetlom
7 dní
1200
biologická analýza

polyvinylchlorid (PVC) 0,9% chlorid sodný 3 mg/ml 24°C Za svetla
24 hodín
421
Žolík (rôzne)

polyvinylchlorid (PVC) 5% glukóza 3 mg/ml 24°C Za svetla
24 hodín
421
Žolík (rôzne)

Injekčná striekačka polypropylén Žiadny 10 mg/ml 25°C Chránené pred svetlom
9 dní
1929
Úroveň dôkazov B

Injekčná striekačka polypropylén Žiadny 10 & 100 mg/ml 7°C Chránené pred svetlom
90 dní
1929
Úroveň dôkazov B

Injekčná striekačka polypropylén Žiadny 100 mg/ml 25°C Chránené pred svetlom
30 dní
1929
Úroveň dôkazov B


  Mentions Légales