Poslední aktualizace :
27/04/2026
Antibiotikum   Netilmicin sulfate  
injekce
Aerosol
Stabilita roztoků Stabilita směsí Faktory ovlivňující stabilitu Kompatibilita Způsoby aplikace Odkazy pdf
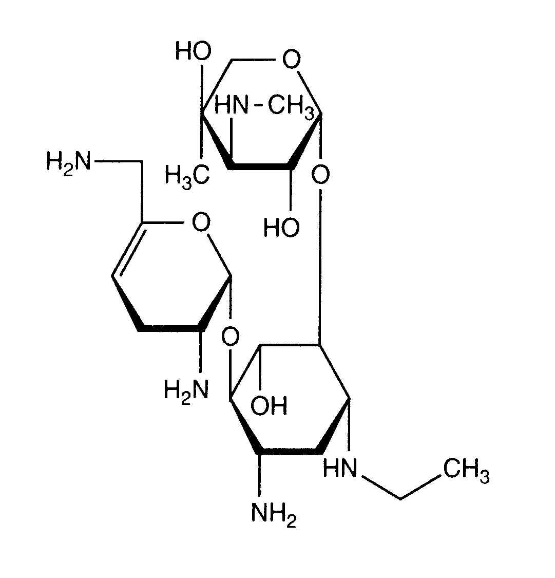
   Chemický vzorec  

Obchodní název   Obchodní název     

Trade names are indicative and excipients composition can be different depending on the country and manufacturers

Bactob Indie
Beltob Indie
Bramicil Itálie
Brulamycin MaÔarsko
Eltol Indie
Fytobra Indie
Gernebcin NÏmecko
Komitub Indie
Nebcin Austrálie, Egypt, nový Zéland, Saúdská Arábie, Spojené arabské emiráty, Velká Británie, ÿecko
Nebcina Dánsko, Maroko, Norsko, Švédsko
Nebcine Maroko
Nebicina Itálie
Netilyn Finsko, Švédsko
Netromicina Portugalsko
Netromicine Francie
Netromycine Polsko, rusky, Turecko, ÿecko
Nettacin Itálie
Obracin Belgie, Lucembursko, Nizozemsko, Švýcarsko
Tobra NÏmecko
Tobra Alex Egypt
Tobra Day nový Zéland
Tobra Gobens äpanÏlsko
Tobracin Egypt
Tobradistin äpanÏlsko
Tobramicina äpanÏlsko, Itálie, Portugalsko, Venezuela
Tobramina BrazÌlie
Tobramycin Austrálie, Irsko, Kanada, NÏmecko, Norsko, Saúdská Arábie, USA, Velká Británie
Tobramycine Francie, Irsko, Nizozemsko
Tobrasix Rakousko
Tobrazid NÏmecko
Tomycin Finsko
Zetamicin Itálie
Stabilita roztoků   injekce   Stabilita roztoků : Netilmicin sulfate     
Obal RozpouötÏdlo Koncentrace Teplota Uchovávání Trvání stability Odkazy
Sklo Voda pro injekci 3 mg/ml 25°C Nespecifikováno
7 Den
1200
Biologická metoda

Sklo Voda pro injekci 3 mg/ml 4°C Chráněno před světlem
7 Den
1200
Biologická metoda

Sklo Chlorid sodný 0,9% 3 mg/ml 24°C SvÏtlo
24 Hodina
421
JOKER

Sklo Chlorid sodný 0,9% 3 mg/ml 25°C Nespecifikováno
7 Den
1200
Biologická metoda

Sklo Chlorid sodný 0,9% 3 mg/ml 4°C Chráněno před světlem
7 Den
1200
Biologická metoda

Sklo GlukÛza 5% 3 mg/ml 24°C SvÏtlo
24 Hodina
421
JOKER

Sklo GlukÛza 5% 3 mg/ml 25°C Nespecifikováno
7 Den
1200
Biologická metoda

Sklo GlukÛza 5% 3 mg/ml 4°C Chráněno před světlem
7 Den
1200
Biologická metoda

Sklo RingerŐs laktátový roztok 3 mg/ml 25°C Nespecifikováno
7 Den
1200
Biologická metoda

Sklo RingerŐs laktátový roztok 3 mg/ml 4°C Chráněno před světlem
7 Den
1200
Biologická metoda

Sklo Chlorid sodný 3% 3 mg/ml 25°C Nespecifikováno
7 Den
1200
Biologická metoda

Sklo Chlorid sodný 3% 3 mg/ml 4°C Chráněno před světlem
7 Den
1200
Biologická metoda

Sklo GlukÛza 10% 3 mg/ml 25°C Nespecifikováno
7 Den
1200
Biologická metoda

Sklo GlukÛza 10% 3 mg/ml 4°C Chráněno před světlem
7 Den
1200
Biologická metoda

Polyvinyl chlorid Chlorid sodný 0,9% 3 mg/ml 24°C SvÏtlo
24 Hodina
421
JOKER

Polyvinyl chlorid GlukÛza 5% 3 mg/ml 24°C SvÏtlo
24 Hodina
421
JOKER

stříkačka polypropylen Žádné 10 mg/ml 25°C Chráněno před světlem
9 Den
1929
Úroveň zkoušky B

stříkačka polypropylen Žádné 10 & 100 mg/ml 7°C Chráněno před světlem
90 Den
1929
Úroveň zkoušky B

stříkačka polypropylen Žádné 100 mg/ml 25°C Chráněno před světlem
30 Den
1929
Úroveň zkoušky B


  Mentions Légales