Seneste opdatering :
27/04/2026
Antibiotisk   Netilmicin sulfate  
Injektion
Aerosol
Stabilitet i (vandige) opløsninger Stabilitet i blandinger Faktorer der påvirker stabiliteten Kompatibilitet Administrationsvej Bibliografi pdf
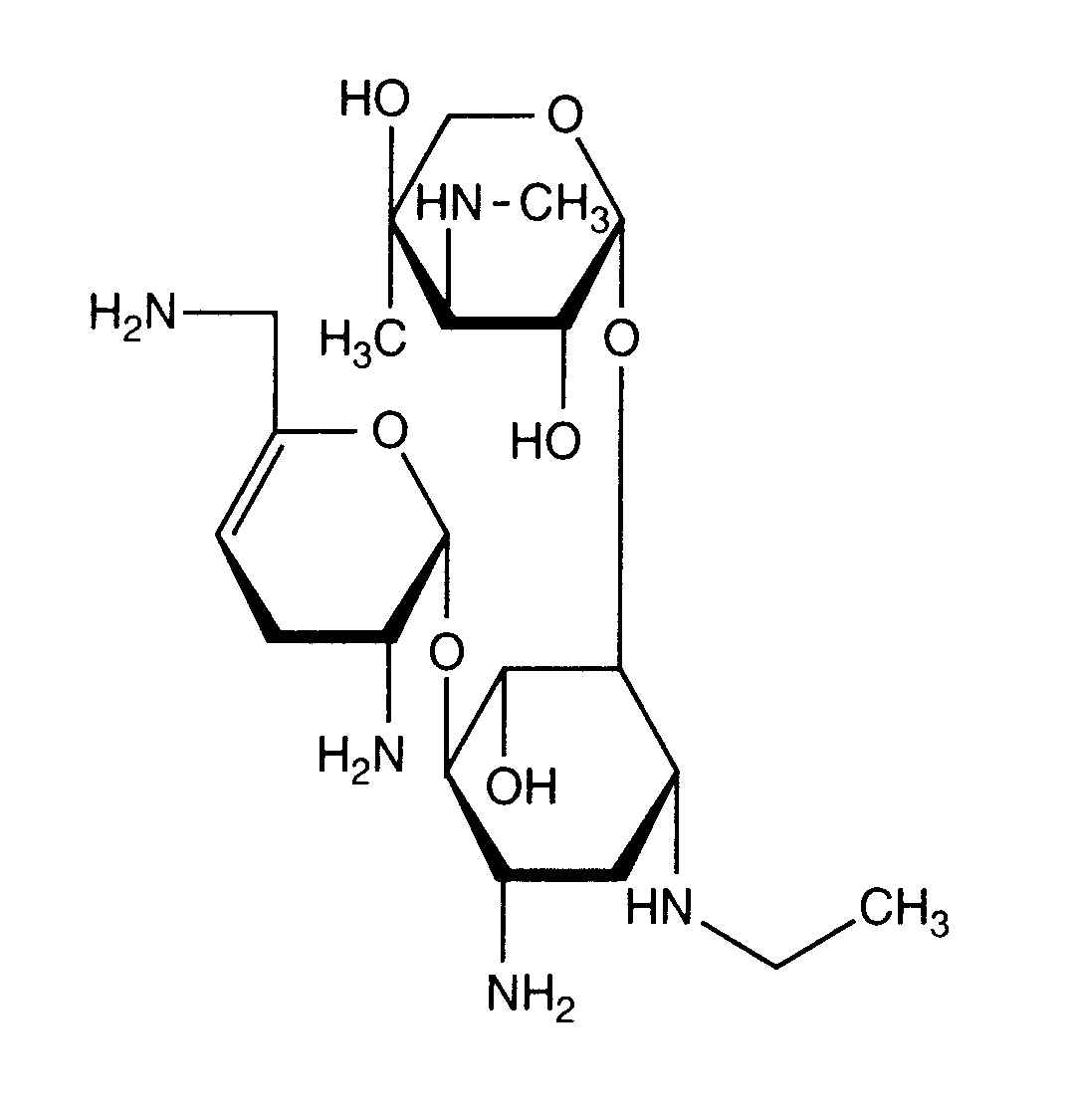
   Kemisk struktur  

Handelsnavn   Handelsnavn     

Handel navne er vejledende og hjælpestoffer sammensætning kan være forskellig afhængigt af landet og laboratorier

Bactob Indien
Beltob Indien
Bramicil Italien
Brulamycin Ungarn
Eltol Indien
Fytobra Indien
Gernebcin Tyskland
Komitub Indien
Nebcin Australien, Forenede Arabiske Emirater, Grækenland, New Zealand, Saudi-Arabien, Storbritanien, Ægypten
Nebcina Danmark, Marokko, Norge, Sverige
Nebcine Marokko
Nebicina Italien
Netilyn Finland, Sverige
Netromicina Portugal
Netromicine Frankrig
Netromycine Grækenland, Polen, russisk, Tyrkiet
Nettacin Italien
Obracin Belgien, Holland, Luxemborg, Schweiz
Tobra Tyskland
Tobra Alex Ægypten
Tobra Day New Zealand
Tobra Gobens Spanien
Tobracin Ægypten
Tobradistin Spanien
Tobramicina Italien, Portugal, Spanien, Venezuela
Tobramina Brasilien
Tobramycin Australien, Canada, Irland, Norge, Saudi-Arabien, Storbritanien, Tyskland, USA
Tobramycine Frankrig, Holland, Irland
Tobrasix Østrig
Tobrazid Tyskland
Tomycin Finland
Zetamicin Italien
Stabilitet i (vandige) opløsninger   Injektion   Stabilitet i (vandige) opløsninger : Netilmicin sulfate     
Beholder Opløsningsmiddel Koncentration Temperatur Konservering Varighed af stabilitet Bibliografi
Glas Vand til injektion 3 mg/ml 25°C Ikke nærmere angivet
7 Dag
1200
biologisk analyse

Glas Vand til injektion 3 mg/ml 4°C Beskyt mod lys
7 Dag
1200
biologisk analyse

Glas 0,9 % Natriumklorid 3 mg/ml 24°C Lys
24 Time
421
Joker

Glas 0,9 % Natriumklorid 3 mg/ml 25°C Ikke nærmere angivet
7 Dag
1200
biologisk analyse

Glas 0,9 % Natriumklorid 3 mg/ml 4°C Beskyt mod lys
7 Dag
1200
biologisk analyse

Glas 5 % Glukose 3 mg/ml 24°C Lys
24 Time
421
Joker

Glas 5 % Glukose 3 mg/ml 25°C Ikke nærmere angivet
7 Dag
1200
biologisk analyse

Glas 5 % Glukose 3 mg/ml 4°C Beskyt mod lys
7 Dag
1200
biologisk analyse

Glas Ringer laktat 3 mg/ml 25°C Ikke nærmere angivet
7 Dag
1200
biologisk analyse

Glas Ringer laktat 3 mg/ml 4°C Beskyt mod lys
7 Dag
1200
biologisk analyse

Glas 3 % Natriumklorid 3 mg/ml 25°C Ikke nærmere angivet
7 Dag
1200
biologisk analyse

Glas 3 % Natriumklorid 3 mg/ml 4°C Beskyt mod lys
7 Dag
1200
biologisk analyse

Glas 10% Glucose 3 mg/ml 25°C Ikke nærmere angivet
7 Dag
1200
biologisk analyse

Glas 10% Glucose 3 mg/ml 4°C Beskyt mod lys
7 Dag
1200
biologisk analyse

Polyvinylklorid 0,9 % Natriumklorid 3 mg/ml 24°C Lys
24 Time
421
Joker

Polyvinylklorid 5 % Glukose 3 mg/ml 24°C Lys
24 Time
421
Joker

sprøjte polypropylen Ingen 10 mg/ml 25°C Beskyt mod lys
9 Dag
1929
Level af bevismateriale B

sprøjte polypropylen Ingen 10 & 100 mg/ml 7°C Beskyt mod lys
90 Dag
1929
Level af bevismateriale B

sprøjte polypropylen Ingen 100 mg/ml 25°C Beskyt mod lys
30 Dag
1929
Level af bevismateriale B


  Mentions Légales