Poslední aktualizace :
27/01/2026
Antibiotikas   Netilmicin sulfate  
Įpurškimas
Aerozolis
Tirpalų stabilumas Mišinių stabilumas Stabilumą lemiantys veiksniai Suderinamumas Leidimo būdai Bibliografija pdf
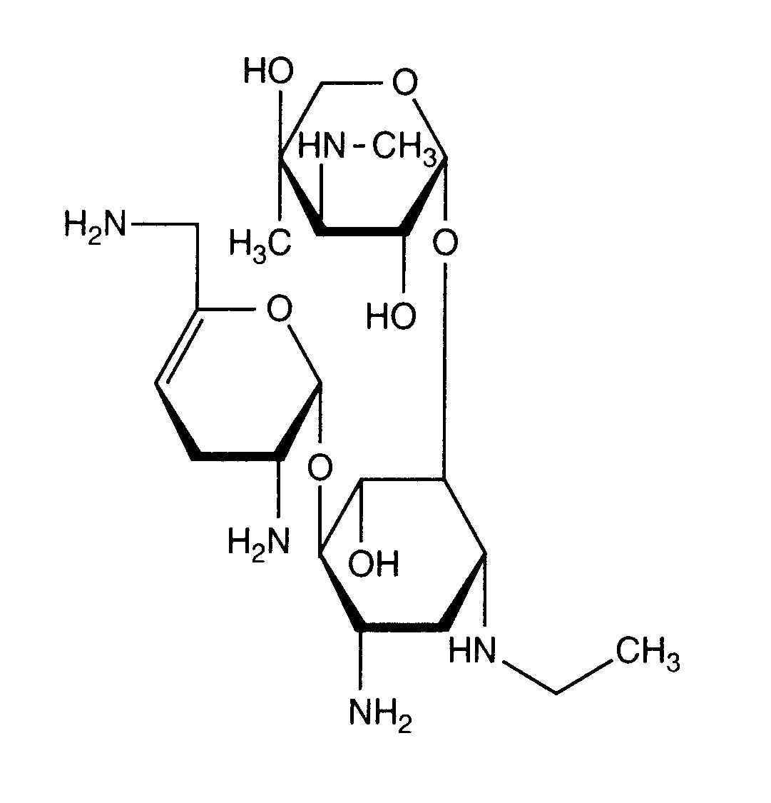
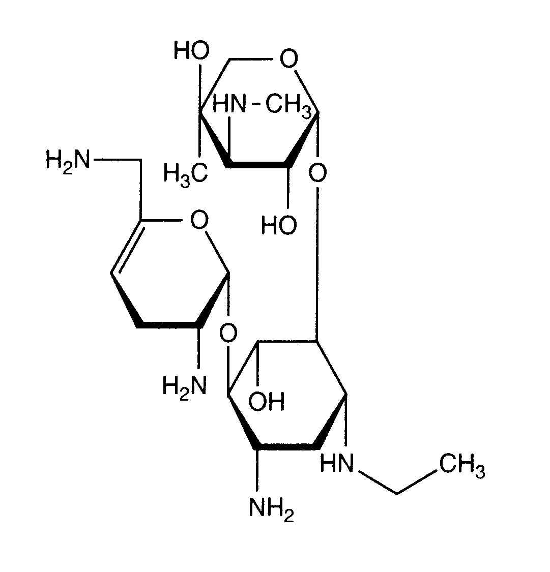
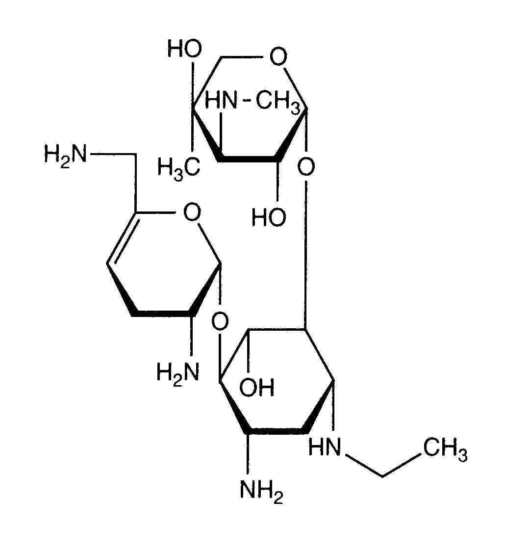
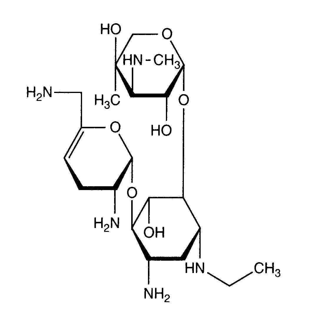
   Cheminė sandara  

Prekinis pavadinimas   Prekinis pavadinimas     

Trade names are indicative and excipients composition can be different depending on the country and manufacturers

Bactob Indija
Beltob Indija
Bramicil Italija
Brulamycin Vengrija
Eltol Indija
Fytobra Indija
Gernebcin Vokietija
Komitub Indija
Nebcin Australija, Didžioji Britanija, Egiptas, Graikija, Jungtiniai Arabų Emyratai, Naujojoje Zelandijoje, Saudo Arabija
Nebcina Danija, Marokas, Norvegija, Švedija
Nebcine Marokas
Nebicina Italija
Netilyn Suomija, Švedija
Netromicina Portugalija
Netromicine Prancūzija
Netromycine Graikija, Lenkija, rusų, Turkija
Nettacin Italija
Obracin Belgija, Liuksemburgas, Olandija, Šveicarija
Tobra Vokietija
Tobra Alex Egiptas
Tobra Day Naujojoje Zelandijoje
Tobra Gobens Ispanija
Tobracin Egiptas
Tobradistin Ispanija
Tobramicina Ispanija, Italija, Portugalija, Venesuela
Tobramina Brazilija
Tobramycin Airija, Australija, Didžioji Britanija, Jungtinės Amerikos Valstijos, Kanada, Norvegija, Saudo Arabija, Vokietija
Tobramycine Airija, Olandija, Prancūzija
Tobrasix Austrija
Tobrazid Vokietija
Tomycin Suomija
Zetamicin Italija
Tirpalų stabilumas   Įpurškimas   Tirpalų stabilumas : Netilmicin sulfate     
Pakuotė Tirpiklis Koncentracija Temperatūra Laikymas Stabilumo trukmė Nuorodos
Stiklas Vanduo injekcijoms 3 mg/ml 25°C Nenurodyta
7 Diena
1200
Biologinis metodas

Stiklas Vanduo injekcijoms 3 mg/ml 4°C Apsaugotas nuo šviesos
7 Diena
1200
Biologinis metodas

Stiklas Natrio chloridas 0,9% 3 mg/ml 24°C Šviesa
24 Valanda
421
Joker

Stiklas Natrio chloridas 0,9% 3 mg/ml 25°C Nenurodyta
7 Diena
1200
Biologinis metodas

Stiklas Natrio chloridas 0,9% 3 mg/ml 4°C Apsaugotas nuo šviesos
7 Diena
1200
Biologinis metodas

Stiklas Gliukozė 5% 3 mg/ml 24°C Šviesa
24 Valanda
421
Joker

Stiklas Gliukozė 5% 3 mg/ml 25°C Nenurodyta
7 Diena
1200
Biologinis metodas

Stiklas Gliukozė 5% 3 mg/ml 4°C Apsaugotas nuo šviesos
7 Diena
1200
Biologinis metodas

Stiklas Ringerio laktato tirpalas 3 mg/ml 25°C Nenurodyta
7 Diena
1200
Biologinis metodas

Stiklas Ringerio laktato tirpalas 3 mg/ml 4°C Apsaugotas nuo šviesos
7 Diena
1200
Biologinis metodas

Stiklas Natrio chloridas 3% 3 mg/ml 25°C Nenurodyta
7 Diena
1200
Biologinis metodas

Stiklas Natrio chloridas 3% 3 mg/ml 4°C Apsaugotas nuo šviesos
7 Diena
1200
Biologinis metodas

Stiklas Gliukozė 10% 3 mg/ml 25°C Nenurodyta
7 Diena
1200
Biologinis metodas

Stiklas Gliukozė 10% 3 mg/ml 4°C Apsaugotas nuo šviesos
7 Diena
1200
Biologinis metodas

Polivinilchloridas Natrio chloridas 0,9% 3 mg/ml 24°C Šviesa
24 Valanda
421
Joker

Polivinilchloridas Gliukozė 5% 3 mg/ml 24°C Šviesa
24 Valanda
421
Joker

Švirkštas polipropileno Nėra 10 mg/ml 25°C Apsaugotas nuo šviesos
9 Diena
1929
Bandymo lygis B

Švirkštas polipropileno Nėra 10 & 100 mg/ml 7°C Apsaugotas nuo šviesos
90 Diena
1929
Bandymo lygis B

Švirkštas polipropileno Nėra 100 mg/ml 25°C Apsaugotas nuo šviesos
30 Diena
1929
Bandymo lygis B


  Mentions Légales