Pēdējā atjaunošana :
27/01/2026
Antibiotika   Netilmicin sulfate  
Injekcija
Aerosols
Šķīduma stabilitāte Maisījuma stabilitāte Stabilitāti ietekmējoši faktori Saderība Levadīšanas veids Literatūras saraksts pdf
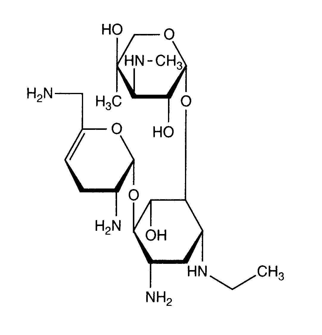
   Ķīmiskā uzbūve   

Oriģinālais nosaukums   Oriģinālais nosaukums     

Tirdzniecības nosaukumi ir apzīmējoši un palīgvielas var atšķirties dažādām valstīm un laboratorijām

Bactob Indija
Beltob Indija
Bramicil Itālija
Brulamycin Ungārija
Eltol Indija
Fytobra Indija
Gernebcin Vācija
Komitub Indija
Nebcin Apvienotie Arābu Emirāti, Austrālija, Ēģipte, Grieķija, Jaunzēlande, Lielbritānija, Saūda Arābija
Nebcina Dānija, Maroka, Norvēģija, Zviedrija
Nebcine Maroka
Nebicina Itālija
Netilyn Somija, Zviedrija
Netromicina Portugāle
Netromicine Francija
Netromycine Grieķija, krievu, Polija, Turcija
Nettacin Itālija
Obracin Beļģija, Holande, Luksemburga, Šveice
Tobra Vācija
Tobra Alex Ēģipte
Tobra Day Jaunzēlande
Tobra Gobens Spānija
Tobracin Ēģipte
Tobradistin Spānija
Tobramicina Itālija, Portugāle, Spānija, Venecuēla
Tobramina Brazīlija
Tobramycin Amerikas Savienotās Valstis, Austrālija, Īrija, Kanāda, Lielbritānija, Norvēģija, Saūda Arābija, Vācija
Tobramycine Francija, Holande, Īrija
Tobrasix Austrija
Tobrazid Vācija
Tomycin Somija
Zetamicin Itālija
Šķīduma stabilitāte   Injekcija   Šķīduma stabilitāte : Netilmicin sulfate     
Iepakojums Šķīdinātājs Koncentrācija Temperatūra Glabāšana Stabilitātes ilgums Literatūras saraksts
Stikls Ūdens injekcijām 3 mg/ml 25°C Nav specifisks
7 Diena
1200
Bioloģiskā metode

Stikls Ūdens injekcijām 3 mg/ml 4°C Aizsargāt no gaismas
7 Diena
1200
Bioloģiskā metode

Stikls Nātrija hlorīds 0.9% 3 mg/ml 24°C Gaisma
24 Stunda
421
\

Stikls Nātrija hlorīds 0.9% 3 mg/ml 25°C Nav specifisks
7 Diena
1200
Bioloģiskā metode

Stikls Nātrija hlorīds 0.9% 3 mg/ml 4°C Aizsargāt no gaismas
7 Diena
1200
Bioloģiskā metode

Stikls 5% glikoze 3 mg/ml 24°C Gaisma
24 Stunda
421
\

Stikls 5% glikoze 3 mg/ml 25°C Nav specifisks
7 Diena
1200
Bioloģiskā metode

Stikls 5% glikoze 3 mg/ml 4°C Aizsargāt no gaismas
7 Diena
1200
Bioloģiskā metode

Stikls Ringera laktāta šķīdums 3 mg/ml 25°C Nav specifisks
7 Diena
1200
Bioloģiskā metode

Stikls Ringera laktāta šķīdums 3 mg/ml 4°C Aizsargāt no gaismas
7 Diena
1200
Bioloģiskā metode

Stikls Nātrija hlorīds 3% 3 mg/ml 25°C Nav specifisks
7 Diena
1200
Bioloģiskā metode

Stikls Nātrija hlorīds 3% 3 mg/ml 4°C Aizsargāt no gaismas
7 Diena
1200
Bioloģiskā metode

Stikls 10% glikoze 3 mg/ml 25°C Nav specifisks
7 Diena
1200
Bioloģiskā metode

Stikls 10% glikoze 3 mg/ml 4°C Aizsargāt no gaismas
7 Diena
1200
Bioloģiskā metode

Polivinilhlorīds Nātrija hlorīds 0.9% 3 mg/ml 24°C Gaisma
24 Stunda
421
\

Polivinilhlorīds 5% glikoze 3 mg/ml 24°C Gaisma
24 Stunda
421
\

Šļirce polipropilēna Nekāds 10 mg/ml 25°C Aizsargāt no gaismas
9 Diena
1929
Pierādījumu līmenis B

Šļirce polipropilēna Nekāds 10 & 100 mg/ml 7°C Aizsargāt no gaismas
90 Diena
1929
Pierādījumu līmenis B

Šļirce polipropilēna Nekāds 100 mg/ml 25°C Aizsargāt no gaismas
30 Diena
1929
Pierādījumu līmenis B


  Mentions Légales