Cập nhật lần cuối :
27/01/2026
Thuốc chống đông   Heparin sodium  
Dạng tiêm
Tính ổn định của các dung dịch Độ ổn định khi trộn lẫn Những yếu tố ảnh hưởng đến độ ổn định Khả năng tương thích Đường dùng Tài liệu tham khảo Pdf
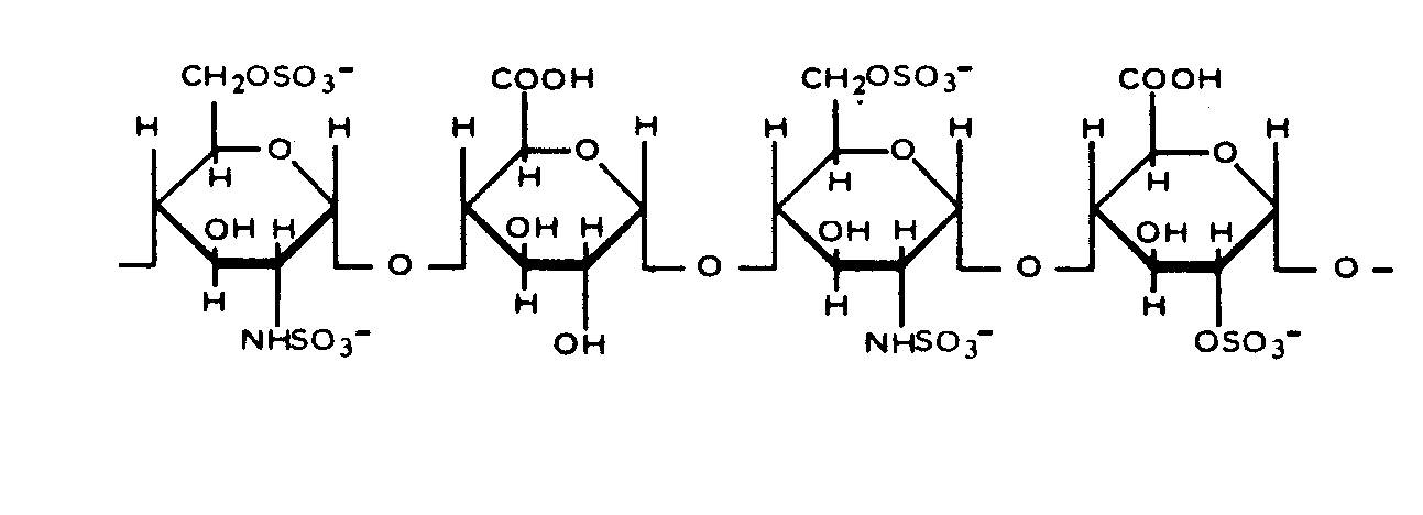
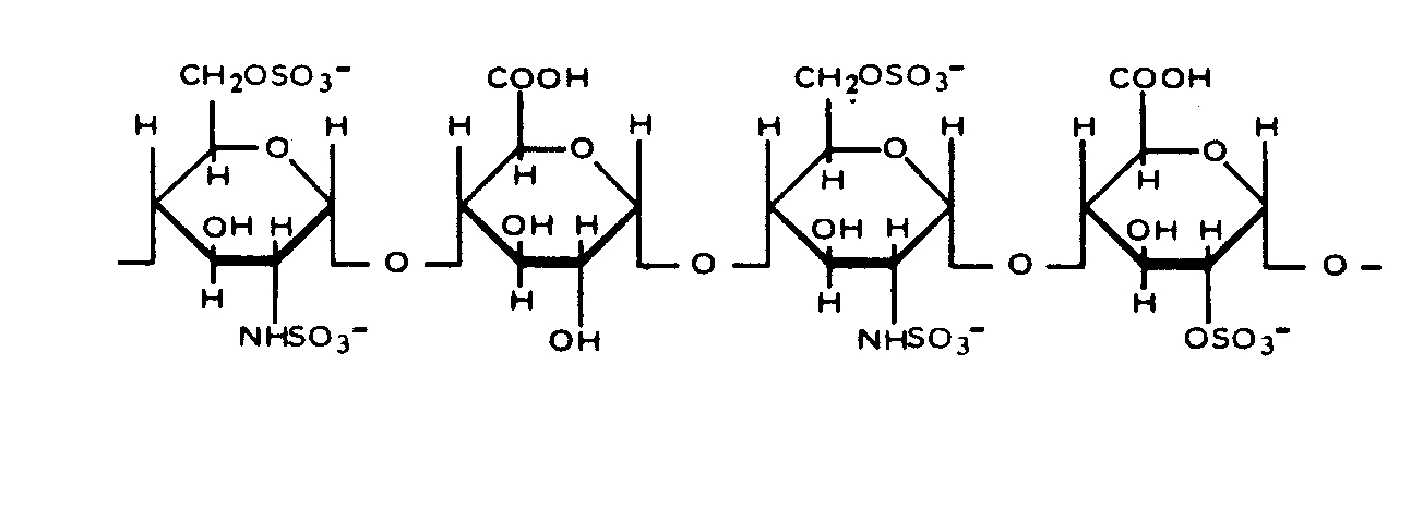
   Cấu trúc hóa học  

Tên thương mại   Tên thương mại     

Các tên thương mại được cung cấp và thành phần tá dược có thể khác nhau giữa các quốc gia và các hãng dược

Arapin Chile
Ateroclar Ý
Clarisco Ý
Epsoclar Ý
Hepaflex Na Uy, Phần Lan
Hepamax Chile, Colombia, Ecuador
Heparin Anh, Áo, Canada, Cộng hòa Nam Phi, Hà Lan, Hoa Kỳ, Hungary, Hy Lạp, Na Uy, Nga, Phần Lan, Serbia, Thái Lan, Thổ Nhĩ Kỳ, Thụy Sỹ, Thụy Điển, Đan Mạch
Heparine Bỉ, Pháp
Heparinised Úc
Heparstad Đức
Liquemin Thổ Nhĩ Kỳ, Thụy Sỹ
Liquemine Brazil
Monoparin Ả Rập Saudi
Normoparin Ý
Nuparin Ecuador
Pharepa Ý
Riveparin Argentina
Sobrius Argentina, Ecuador
Thrombophob Đức
Tính ổn định của các dung dịch   Dạng tiêm   Tính ổn định của các dung dịch : Heparin sodium     
Bao bì Dung môi Nồng độ Nhiệt độ Bảo quản Thời gian ổn định Mục lục
Thủy tinh NaCl 0,9% 1 UI/ml 25°C Ánh sáng
365 Ngày
4166
Phương pháp sinh học

Nhựa polyvinyl chloride NaCl 0,9% 1 UI/ml 20°C-25°C Không rõ
365 Ngày
1291
Phương pháp sinh học

Nhựa polyvinyl chloride Glucose 5% 1 UI/ml 20°C-25°C Không rõ
365 Ngày
1291
Phương pháp sinh học

Nhựa polyvinyl chloride Glucose 5% 10 UI/ml 20°C-25°C Không rõ
365 Ngày
1291
Phương pháp sinh học

Nhựa polyethylen NaCl 0,9% 7 UI/ml 22°C Tránh ánh sáng
24 Giờ
1067
Cấp độ bằng chứng C

Nhựa polyethylen NaCl 0,9% 7 UI/ml 4°C Tránh ánh sáng
24 Giờ
1067
Cấp độ bằng chứng C

Nhựa polyethylen Glucose 5% 7 UI/ml 22°C Tránh ánh sáng
24 Giờ
1067
Cấp độ bằng chứng C

Nhựa polyethylen Glucose 5% 7 UI/ml 4°C Tránh ánh sáng
24 Giờ
1067
Cấp độ bằng chứng C

ống tiêm polypropylene NaCl 0,9% 1 UI/ml 20°C Không rõ
365 Ngày
1234
Phương pháp sinh học

ống tiêm polypropylene NaCl 0,9% 1 UI/ml 37°C Không rõ
365 Ngày
1234
Phương pháp sinh học

ống tiêm polypropylene NaCl 0,9% 100 UI/ml 4°C Tránh ánh sáng
14 Ngày
895
Phương pháp sinh học

ống tiêm polypropylene NaCl 0,9% 500 UI/ml 25°C Tránh ánh sáng
21 Ngày
1183
Phương pháp sinh học

ống tiêm polypropylene NaCl 0,9% 500 UI/ml 4°C Tránh ánh sáng
21 Ngày
1183
Phương pháp sinh học

ống tiêm polypropylene Không 1000 & 40000 UI/ml 30°C Không rõ
30 Ngày
874
Cấp độ bằng chứng B

Không rõ NaCl 0,9% 5 UI/ml 4°C Tránh ánh sáng
28 Ngày
791
Phương pháp sinh học


  Mentions Légales