最新更新 :
12/12/2025
抗凝固薬   Heparin sodium  
注射薬
溶媒内の安定性 混合時の安定性 安定性に影響する因子 互換性 投与経路 引用文献 PDF
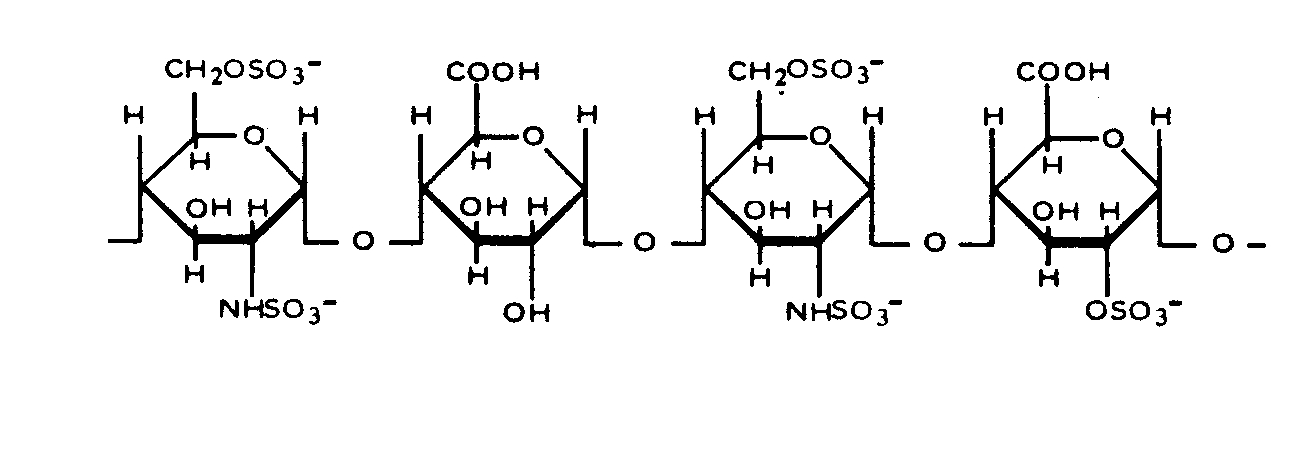
   化学構造  

商品名   商品名     

商品名、賦形剤は国、製薬会社ごとに異なることがあります

Arapin チリ
Ateroclar イタリア
Clarisco イタリア
Epsoclar イタリア
Hepaflex ノルウェー, フィンランド
Hepamax エクアドル, コロンビア, チリ
Heparin アメリカ, イギリス, オランダ, オーストリア, カナダ, ギリシア, スイス, スウェーデン, セルビア, タイ, デンマーク, トルコ, ノルウェー, ハンガリー, フィンランド, ロシア, 南アフリカ共和国
Heparine フランス, ベルギー
Heparinised アーストラリア
Heparstad ドイツ
Liquemin スイス, トルコ
Liquemine ブラジル
Monoparin サウジアラビア
Normoparin イタリア
Nuparin エクアドル
Pharepa イタリア
Riveparin アルゼンチン
Sobrius アルゼンチン, エクアドル
Thrombophob ドイツ
溶媒内の安定性   注射薬   溶媒内の安定性 : Heparin sodium     
容器 溶媒 濃度 温度 保管 安定期間 引用文献
ガラス NaCl 0,9% 1 UI/ml 25°C 光
365 日
4166
生物学的分析

ポリ塩化ビニル(PVC) NaCl 0,9% 1 UI/ml 20°C-25°C 特記なし
365 日
1291
生物学的分析

ポリ塩化ビニル(PVC) グルコース5% 1 UI/ml 20°C-25°C 特記なし
365 日
1291
生物学的分析

ポリ塩化ビニル(PVC) グルコース5% 10 UI/ml 20°C-25°C 特記なし
365 日
1291
生物学的分析

ポリエチレン NaCl 0,9% 7 UI/ml 22°C 遮光
24 時間
1067
エビデンスレベル C

ポリエチレン NaCl 0,9% 7 UI/ml 4°C 遮光
24 時間
1067
エビデンスレベル C

ポリエチレン グルコース5% 7 UI/ml 22°C 遮光
24 時間
1067
エビデンスレベル C

ポリエチレン グルコース5% 7 UI/ml 4°C 遮光
24 時間
1067
エビデンスレベル C

シリンジ ポリプロピレン NaCl 0,9% 1 UI/ml 20°C 特記なし
365 日
1234
生物学的分析

シリンジ ポリプロピレン NaCl 0,9% 1 UI/ml 37°C 特記なし
365 日
1234
生物学的分析

シリンジ ポリプロピレン NaCl 0,9% 100 UI/ml 4°C 遮光
14 日
895
生物学的分析

シリンジ ポリプロピレン NaCl 0,9% 500 UI/ml 25°C 遮光
21 日
1183
生物学的分析

シリンジ ポリプロピレン NaCl 0,9% 500 UI/ml 4°C 遮光
21 日
1183
生物学的分析

シリンジ ポリプロピレン なし 1000 & 40000 UI/ml 30°C 特記なし
30 日
874
エビデンスレベル B

指定なし NaCl 0,9% 5 UI/ml 4°C 遮光
28 日
791
生物学的分析


  Mentions Légales