Seneste opdatering :
27/01/2026
Antikoagulant   Heparin sodium  
Injektion
Stabilitet i (vandige) opløsninger Stabilitet i blandinger Faktorer der påvirker stabiliteten Kompatibilitet Administrationsvej Bibliografi pdf
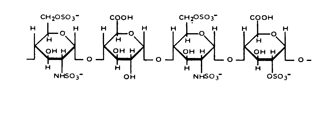
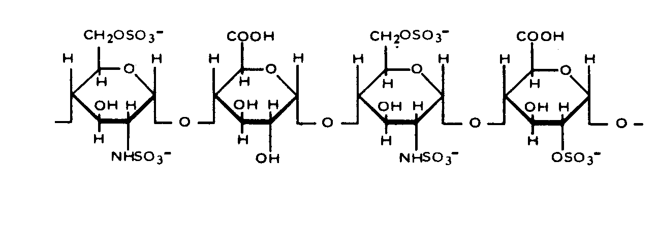
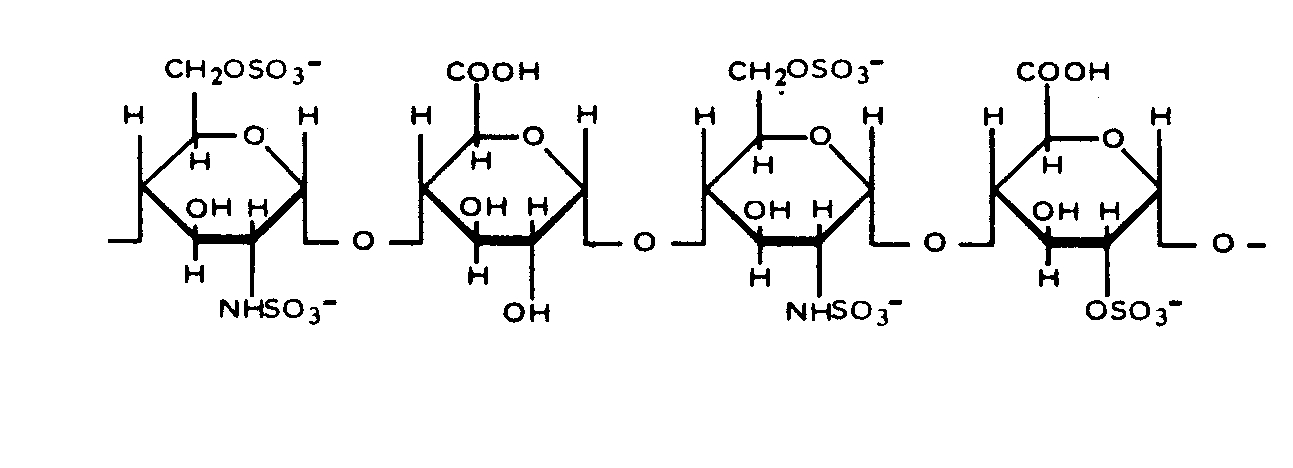
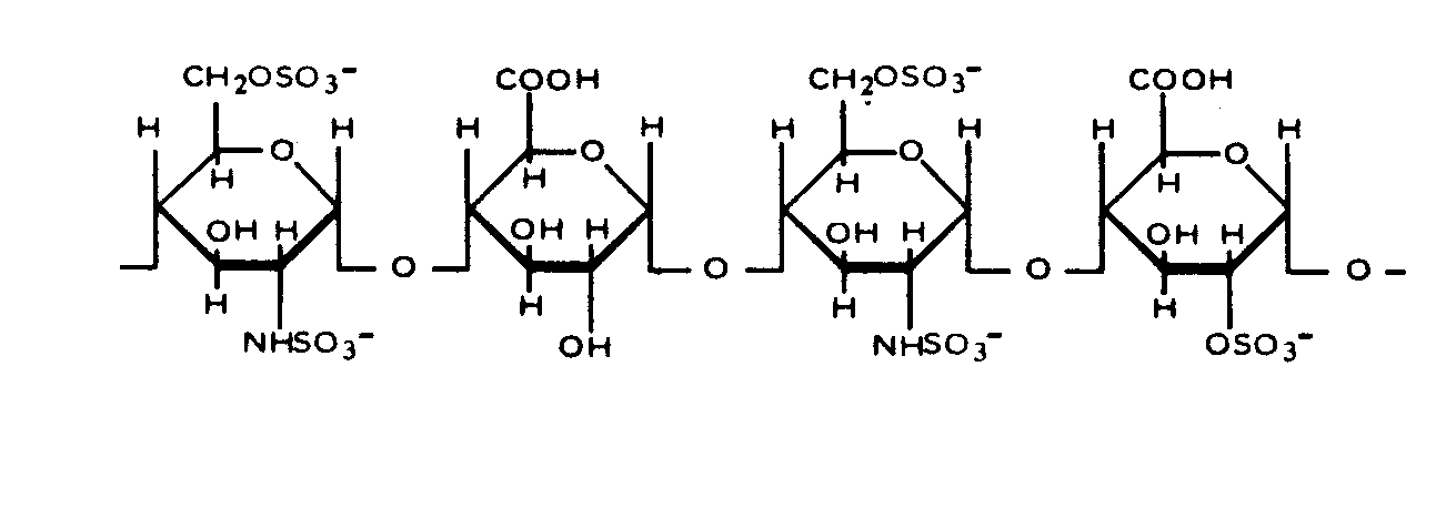
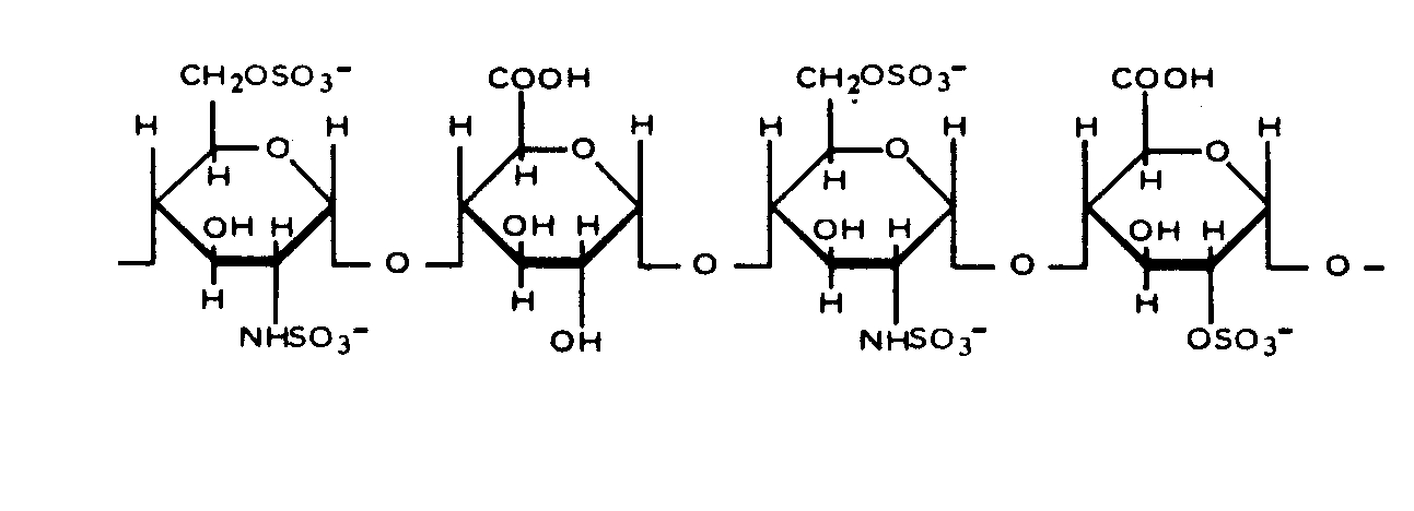
   Kemisk struktur  

Handelsnavn   Handelsnavn     

Handel navne er vejledende og hjælpestoffer sammensætning kan være forskellig afhængigt af landet og laboratorier

Arapin Chile
Ateroclar Italien
Clarisco Italien
Epsoclar Italien
Hepaflex Finland, Norge
Hepamax Chile, Colombia, Ecuador
Heparin Canada, Danmark, Finland, Grækenland, Holland, Jugoslavien, Norge, russisk, Schweiz, Storbritanien, Sverige, Sydafrika, Thailand, Tyrkiet, Ungarn, USA, Østrig
Heparine Belgien, Frankrig
Heparinised Australien
Heparstad Tyskland
Liquemin Schweiz, Tyrkiet
Liquemine Brasilien
Monoparin Saudi-Arabien
Normoparin Italien
Nuparin Ecuador
Pharepa Italien
Riveparin Argentina
Sobrius Argentina, Ecuador
Thrombophob Tyskland
Stabilitet i (vandige) opløsninger   Injektion   Stabilitet i (vandige) opløsninger : Heparin sodium     
Beholder Opløsningsmiddel Koncentration Temperatur Konservering Varighed af stabilitet Bibliografi
Glas 0,9 % Natriumklorid 1 UI/ml 25°C Lys
365 Dag
4166
biologisk analyse

Polyvinylklorid 0,9 % Natriumklorid 1 UI/ml 20°C-25°C Ikke nærmere angivet
365 Dag
1291
biologisk analyse

Polyvinylklorid 5 % Glukose 1 UI/ml 20°C-25°C Ikke nærmere angivet
365 Dag
1291
biologisk analyse

Polyvinylklorid 5 % Glukose 10 UI/ml 20°C-25°C Ikke nærmere angivet
365 Dag
1291
biologisk analyse

Polyethylen 0,9 % Natriumklorid 7 UI/ml 22°C Beskyt mod lys
24 Time
1067
Level af bevismateriale C

Polyethylen 0,9 % Natriumklorid 7 UI/ml 4°C Beskyt mod lys
24 Time
1067
Level af bevismateriale C

Polyethylen 5 % Glukose 7 UI/ml 22°C Beskyt mod lys
24 Time
1067
Level af bevismateriale C

Polyethylen 5 % Glukose 7 UI/ml 4°C Beskyt mod lys
24 Time
1067
Level af bevismateriale C

sprøjte polypropylen 0,9 % Natriumklorid 1 UI/ml 20°C Ikke nærmere angivet
365 Dag
1234
biologisk analyse

sprøjte polypropylen 0,9 % Natriumklorid 1 UI/ml 37°C Ikke nærmere angivet
365 Dag
1234
biologisk analyse

sprøjte polypropylen 0,9 % Natriumklorid 100 UI/ml 4°C Beskyt mod lys
14 Dag
895
biologisk analyse

sprøjte polypropylen 0,9 % Natriumklorid 500 UI/ml 25°C Beskyt mod lys
21 Dag
1183
biologisk analyse

sprøjte polypropylen 0,9 % Natriumklorid 500 UI/ml 4°C Beskyt mod lys
21 Dag
1183
biologisk analyse

sprøjte polypropylen Ingen 1000 & 40000 UI/ml 30°C Ikke nærmere angivet
30 Dag
874
Level af bevismateriale B

Ikke angivet nærmere 0,9 % Natriumklorid 5 UI/ml 4°C Beskyt mod lys
28 Dag
791
biologisk analyse


  Mentions Légales