Letztes “update” :
27/01/2026
Antikoagulans   Heparin sodium  
Injektion
Stabilität der Lösung Gemengestabilität Stabilitätbeeinflussende Faktoren Kompatibilitäten Applikationsart Literaturverzeichnis pdf
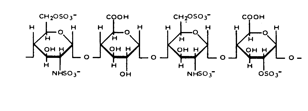
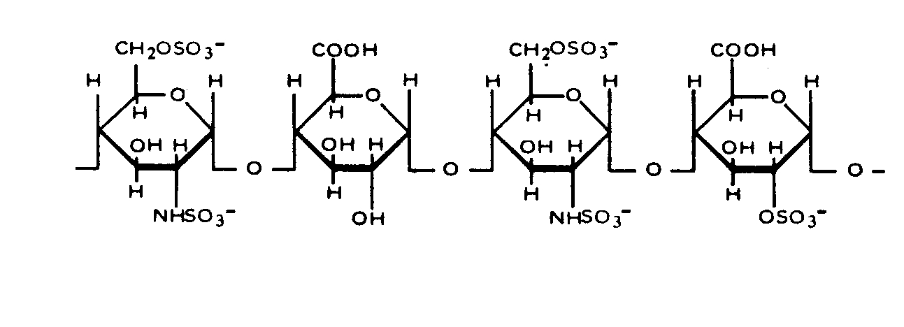
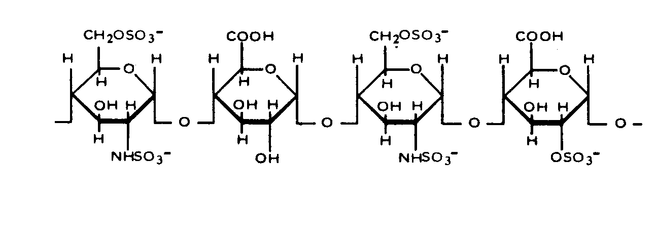
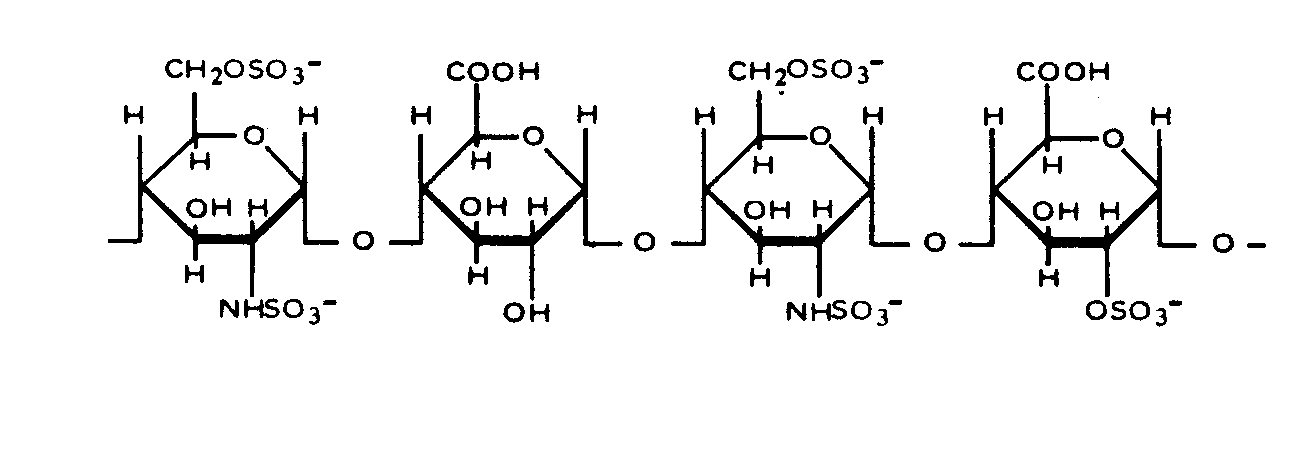
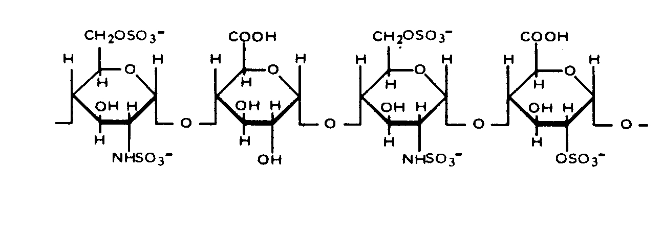
   Chemische Struktur  

Handelsmarke   Handelsmarke     

Handelsnamen sind als beispielhaft anzusehen. Sonstige Bestandteile können je nach Hersteller oder Land verschieden sein

Arapin Chile
Ateroclar Italien
Clarisco Italien
Epsoclar Italien
Hepaflex Finnland, Norwegen
Hepamax Chile, Ecuador, Kolumbien
Heparin Dänemark, Finnland, Griechenland, Großbritannien, Jugoslawien, Kanada, Niederlande, Norwegen, Österreich, russisch, Schweden, Schweiz, Südafrika, Thailand, Türkei, Ungarn, Vereinigte Staaten von Amerika
Heparine Belgien, Frankreich
Heparinised Australien
Heparstad Deutschland
Liquemin Schweiz, Türkei
Liquemine Brasilien
Monoparin Saudi-Arabien
Normoparin Italien
Nuparin Ecuador
Pharepa Italien
Riveparin Argentinien
Sobrius Argentinien, Ecuador
Thrombophob Deutschland
Stabilität der Lösung   Injektion   Stabilität der Lösung : Heparin sodium     
Behälter Lösungsmittel Konzentration Temperatur Konservierung Dauer der Stabilität Literaturverzeichnis
Glas 0,9% Natriumchlorid 1 UI/ml 25°C Licht
365 Tag
4166
Biologische Analysen

Polyvinylchlorid 0,9% Natriumchlorid 1 UI/ml 20°C-25°C Nicht genau angegeben
365 Tag
1291
Biologische Analysen

Polyvinylchlorid 5% Glucose 1 UI/ml 20°C-25°C Nicht genau angegeben
365 Tag
1291
Biologische Analysen

Polyvinylchlorid 5% Glucose 10 UI/ml 20°C-25°C Nicht genau angegeben
365 Tag
1291
Biologische Analysen

Polyäthylen 0,9% Natriumchlorid 7 UI/ml 22°C Ohne Licht
24 Stunde
1067
Evidenzgrad C

Polyäthylen 0,9% Natriumchlorid 7 UI/ml 4°C Ohne Licht
24 Stunde
1067
Evidenzgrad C

Polyäthylen 5% Glucose 7 UI/ml 22°C Ohne Licht
24 Stunde
1067
Evidenzgrad C

Polyäthylen 5% Glucose 7 UI/ml 4°C Ohne Licht
24 Stunde
1067
Evidenzgrad C

 Spritze Polypropylen 0,9% Natriumchlorid 1 UI/ml 20°C Nicht genau angegeben
365 Tag
1234
Biologische Analysen

 Spritze Polypropylen 0,9% Natriumchlorid 1 UI/ml 37°C Nicht genau angegeben
365 Tag
1234
Biologische Analysen

 Spritze Polypropylen 0,9% Natriumchlorid 100 UI/ml 4°C Ohne Licht
14 Tag
895
Biologische Analysen

 Spritze Polypropylen 0,9% Natriumchlorid 500 UI/ml 25°C Ohne Licht
21 Tag
1183
Biologische Analysen

 Spritze Polypropylen 0,9% Natriumchlorid 500 UI/ml 4°C Ohne Licht
21 Tag
1183
Biologische Analysen

 Spritze Polypropylen Kein 1000 & 40000 UI/ml 30°C Nicht genau angegeben
30 Tag
874
Evidenzgrad B

Nicht genau angegeben 0,9% Natriumchlorid 5 UI/ml 4°C Ohne Licht
28 Tag
791
Biologische Analysen


  Mentions Légales