Utolsó frissítés :
27/01/2026
Véralvadásgátló   Heparin sodium  
Injekció
Az oldatok stabilitása A keverékek stabilitása Stabilitást befolyásoló tényezők Kompatibilitás Az alkalmazás módja Irodalom pdf
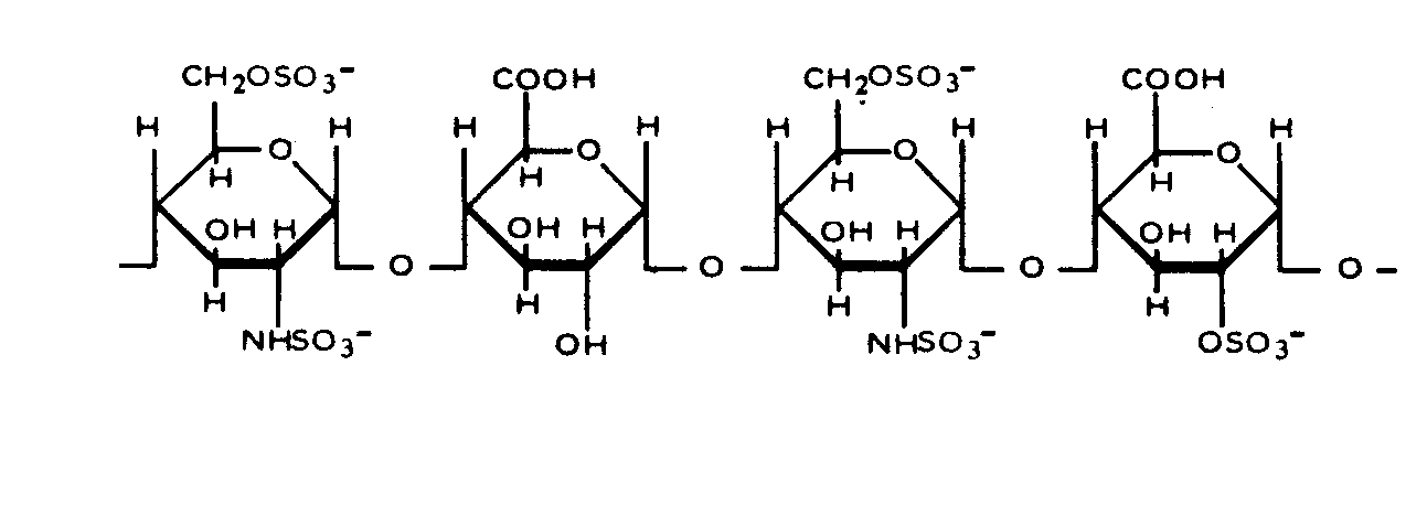
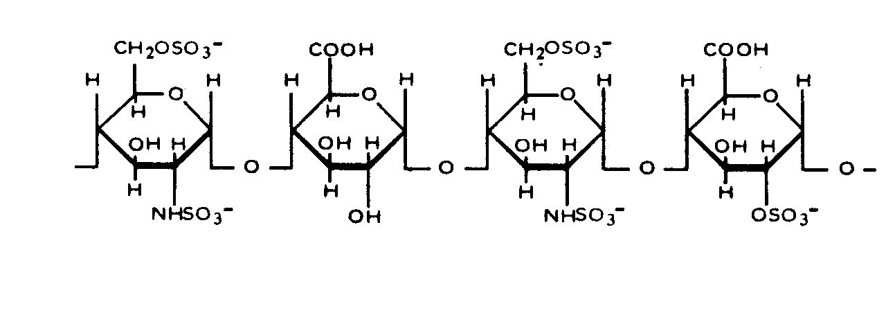
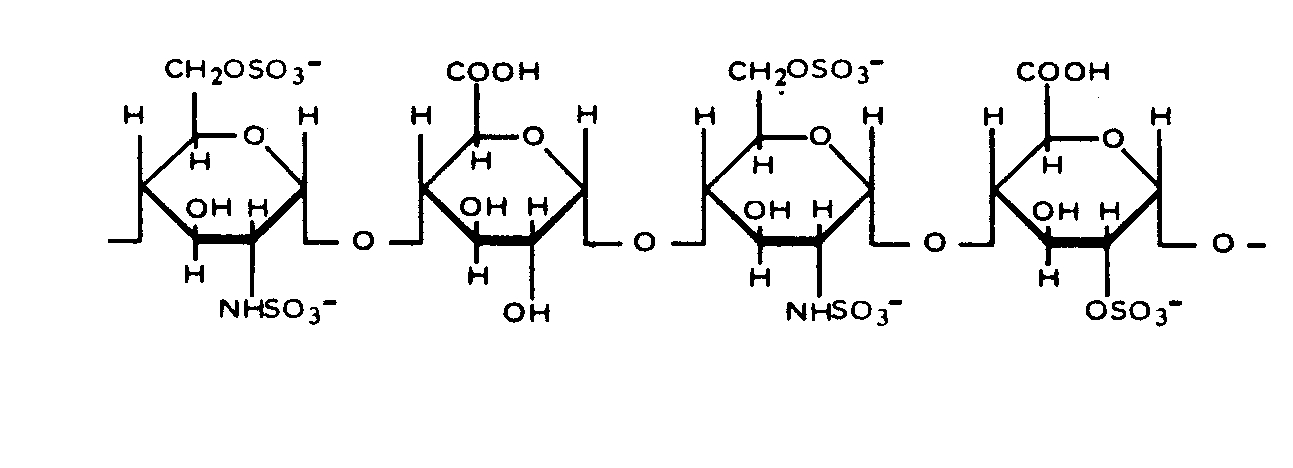
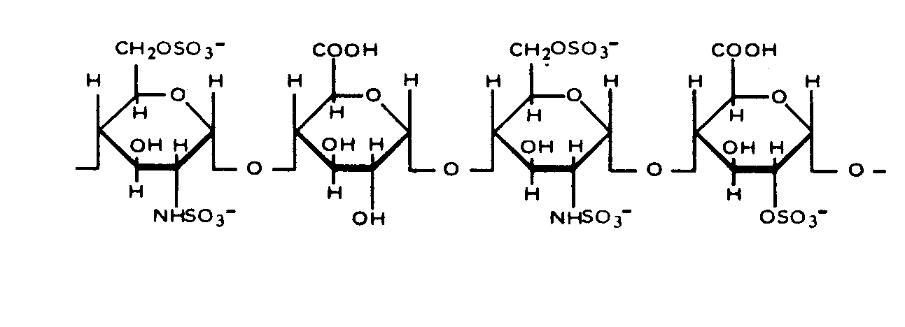
   Kémiai szerkezet   

Kereskedelmi név   Kereskedelmi név     

A kereskedelmi név meghatározó jelentőségű: a készítmények összetétele országonként, előállítóként eltérő lehet

Arapin Chile
Ateroclar Olaszország
Clarisco Olaszország
Epsoclar Olaszország
Hepaflex Finnország, Norvégia
Hepamax Chile, Colombia, Ecuador
Heparin Amerikai Egyesült Államok, Ausztria, Dánia, Dél-Afrikai Köztársaság, Finnország, Görögország, Hollandia, Jugoszlávia, Kanada, Magyarország, Nagy-Britannia, Norvégia, orosz, Svájc, Svédország, Thaiföld, Törökország
Heparine Belgium, Franciaország
Heparinised Ausztrália
Heparstad Németország
Liquemin Svájc, Törökország
Liquemine Brazília
Monoparin Szaúd-Arábiában
Normoparin Olaszország
Nuparin Ecuador
Pharepa Olaszország
Riveparin Argentína
Sobrius Argentína, Ecuador
Thrombophob Németország
Az oldatok stabilitása   Injekció   Az oldatok stabilitása : Heparin sodium     
Csomagolás Oldószer Koncentráció Hőmérséklet Tárolás A stabilitás időtartama Irodalom
Üveg 0,9% nátrium-klorid 1 UI/ml 25°C Fény
365 Nap
4166
Biológiai elemzés

Poli(vinilklorid) 0,9% nátrium-klorid 1 UI/ml 20°C-25°C Nincs meghatározva
365 Nap
1291
Biológiai elemzés

Poli(vinilklorid) 5% glükóz 1 UI/ml 20°C-25°C Nincs meghatározva
365 Nap
1291
Biológiai elemzés

Poli(vinilklorid) 5% glükóz 10 UI/ml 20°C-25°C Nincs meghatározva
365 Nap
1291
Biológiai elemzés

Polietilén 0,9% nátrium-klorid 7 UI/ml 22°C Fénytől védve tartandó
24 Óra
1067
Szintű bizonyítékot C

Polietilén 0,9% nátrium-klorid 7 UI/ml 4°C Fénytől védve tartandó
24 Óra
1067
Szintű bizonyítékot C

Polietilén 5% glükóz 7 UI/ml 22°C Fénytől védve tartandó
24 Óra
1067
Szintű bizonyítékot C

Polietilén 5% glükóz 7 UI/ml 4°C Fénytől védve tartandó
24 Óra
1067
Szintű bizonyítékot C

fecskendő polipropilén 0,9% nátrium-klorid 1 UI/ml 20°C Nincs meghatározva
365 Nap
1234
Biológiai elemzés

fecskendő polipropilén 0,9% nátrium-klorid 1 UI/ml 37°C Nincs meghatározva
365 Nap
1234
Biológiai elemzés

fecskendő polipropilén 0,9% nátrium-klorid 100 UI/ml 4°C Fénytől védve tartandó
14 Nap
895
Biológiai elemzés

fecskendő polipropilén 0,9% nátrium-klorid 500 UI/ml 25°C Fénytől védve tartandó
21 Nap
1183
Biológiai elemzés

fecskendő polipropilén 0,9% nátrium-klorid 500 UI/ml 4°C Fénytől védve tartandó
21 Nap
1183
Biológiai elemzés

fecskendő polipropilén Egy sem 1000 & 40000 UI/ml 30°C Nincs meghatározva
30 Nap
874
Szintű bizonyítékot B

Nincs meghatározva 0,9% nátrium-klorid 5 UI/ml 4°C Fénytől védve tartandó
28 Nap
791
Biológiai elemzés


  Mentions Légales